Официальное опубликование правовых актов
ОФИЦИАЛЬНОЕ ОПУБЛИКОВАНИЕ
Распоряжение Комитета по государственному контролю, использованию и охране памятников истории и культуры Санкт-Петербурга от 02.11.2018 № 449-р
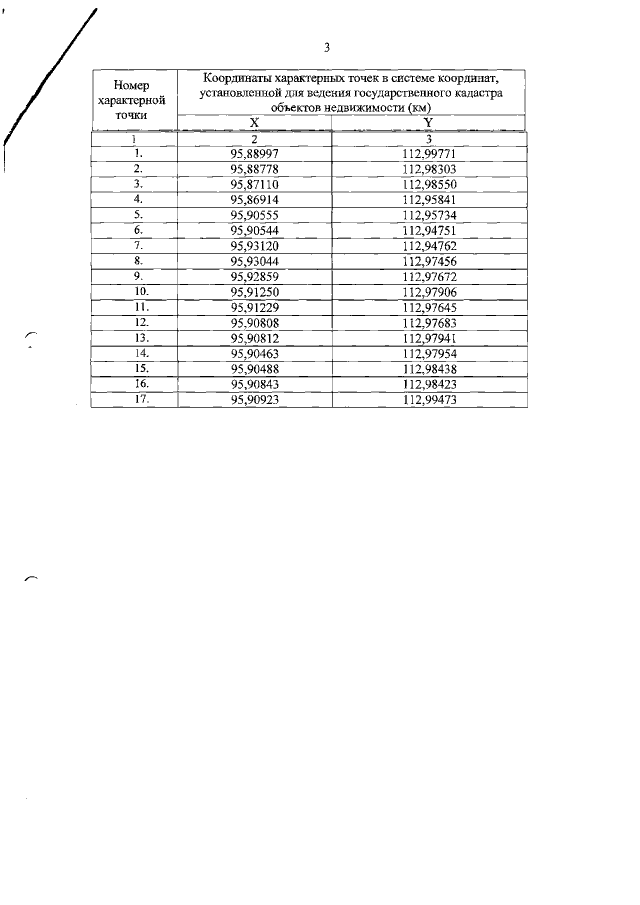
"О включении в перечень выявленных объектов культурного наследия выявленного объекта археологического наследия "Провиантская улица (Мытный переулок) 1. Участок культурного слоя окрестностей Мытного двора города Санкт-Петербурга XVIII-XX вв." и об утверждении границ территории выявленного объекта культурного наследия"
Номер опубликования: 7801201811070006
Дата опубликования: 07.11.2018
Страница №5 из 5:
Увеличить