Официальное опубликование правовых актов
ОФИЦИАЛЬНОЕ ОПУБЛИКОВАНИЕ
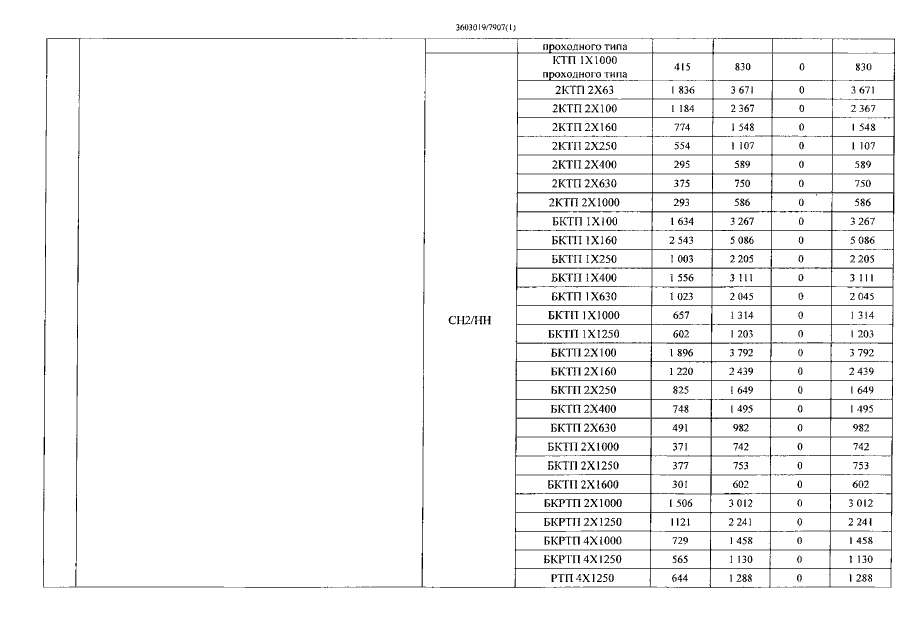
Распоряжение Комитета по тарифам Санкт-Петербурга от 01.09.2017 № 87-р
"Об установлении платы за технологическое присоединение к электрическим сетям общества с ограниченной ответственностью «Региональные электрические сети» на территории Санкт-Петербурга на 2017 год"
Номер опубликования: 7801201709070007
Дата опубликования: 07.09.2017
Страница №15 из 23:
Увеличить