Официальное опубликование правовых актов
ОФИЦИАЛЬНОЕ ОПУБЛИКОВАНИЕ
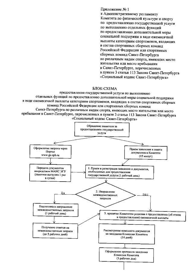
Распоряжение Комитета по физической культуре и спорту Санкт-Петербурга от 01.09.2017 № 398-р
"Об утверждении Административного регламента Комитета по физической культуре и спорту по предоставлению государственной услуги по выполнению отдельных функций по предоставлению дополнительной меры социальной поддержки в виде ежемесячной выплаты категориям спортсменов, входящих в состав спортивных сборных команд Российской Федерации или спортивных сборных команд Санкт-Петербурга по различным видам спорта, имеющих место жительства или место пребывания в Санкт-Петербурге, перечисленных в пункте 3 статьи 113 Закона Санкт-Петербурга "Социальный кодекс Санкт-Петербурга"
Номер опубликования: 7801201709050007
Дата опубликования: 05.09.2017
Страница №30 из 44:
Увеличить