Официальное опубликование правовых актов
ОФИЦИАЛЬНОЕ ОПУБЛИКОВАНИЕ
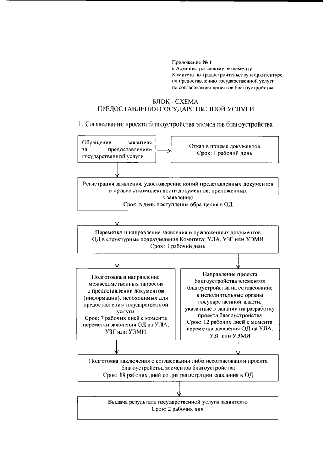
Распоряжение Комитета по градостроительству и архитектуре Санкт-Петербурга от 09.08.2017 № 13-н
"Об утверждении Административного регламента Комитета по градостроительству и архитектуре по предоставлению государственной услуги по согласованию проектов благоустройства"
Номер опубликования: 7801201708110005
Дата опубликования: 11.08.2017
Страница №44 из 56:
Увеличить