Официальное опубликование правовых актов
ОФИЦИАЛЬНОЕ ОПУБЛИКОВАНИЕ
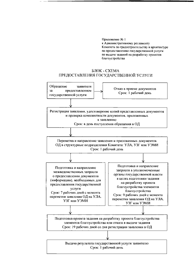
Распоряжение Комитета по градостроительству и архитектуре Санкт-Петербурга от 09.08.2017 № 14-н
"Об утверждении Административного регламента Комитета по градостроительству и архитектуре по предоставлению государственной услуги по выдаче заданий на разработку проектов благоустройства"
Номер опубликования: 7801201708110004
Дата опубликования: 11.08.2017
Страница №38 из 45:
Увеличить