Официальное опубликование правовых актов
ОФИЦИАЛЬНОЕ ОПУБЛИКОВАНИЕ
Распоряжение Комитета по социальной политике Санкт-Петербурга от 28.07.2017 № 460-р
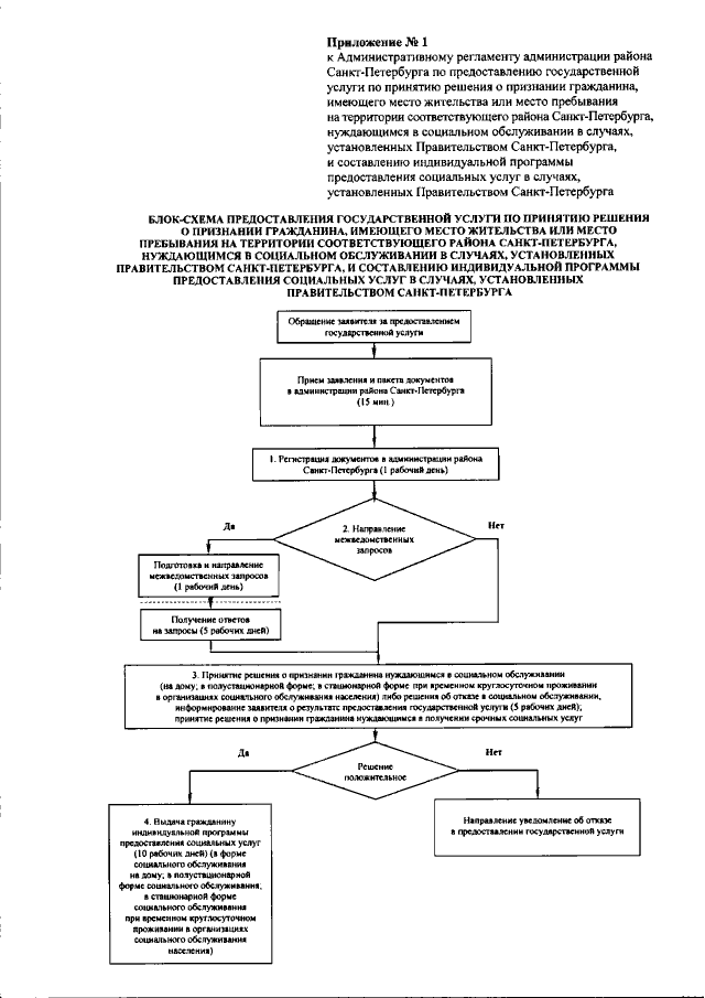
"Об утверждении Административного регламента администрации района Санкт-Петербурга по предоставлению государственной услуги по принятию решения о признании гражданина, имеющего место жительства или место пребывания на территории соответствующего района Санкт-Петербурга, нуждающимся в социальном обслуживании в случаях, установленных Правительством Санкт-Петербурга, и составлению индивидуальной программы предоставления социальных услуг в случаях, установленных Правительством Санкт-Петербурга"
Номер опубликования: 7801201708010002
Дата опубликования: 01.08.2017
Страница №26 из 34:
Увеличить