Официальное опубликование правовых актов
ОФИЦИАЛЬНОЕ ОПУБЛИКОВАНИЕ
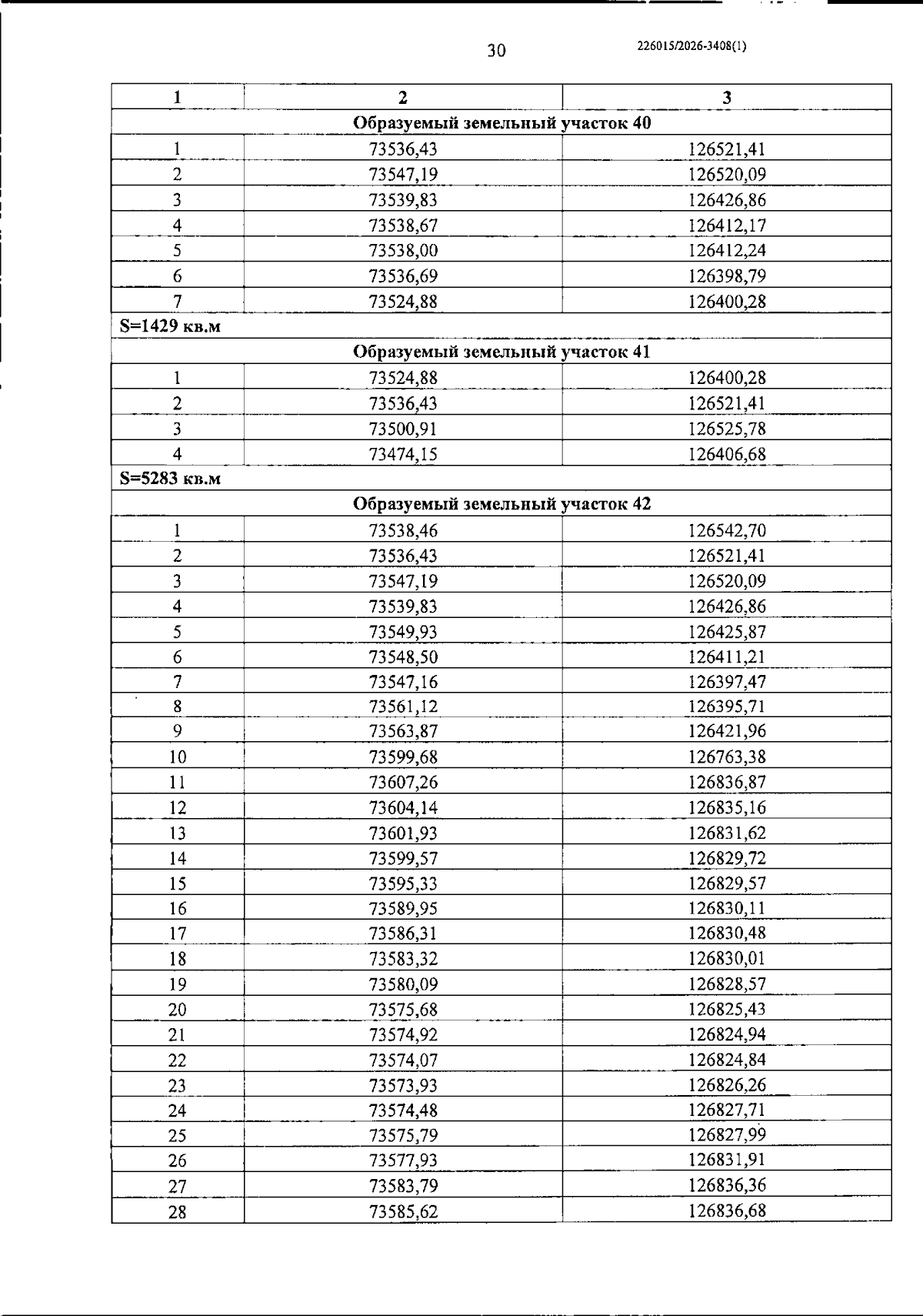
Постановление Правительства Санкт-Петербурга от 31.03.2026 № 203
"Об утверждении проекта планировки с проектом межевания территории для размещения линейного объекта регионального значения "Колпинское шоссе на участке от Промышленной ул. до Фидерной ул.-ул. Танкистов"
Номер опубликования: 7800202604060003
Дата опубликования: 06.04.2026
Страница №114 из 151:
Увеличить