Официальное опубликование правовых актов
ОФИЦИАЛЬНОЕ ОПУБЛИКОВАНИЕ
Постановление Правительства Санкт-Петербурга от 30.01.2026 № 28
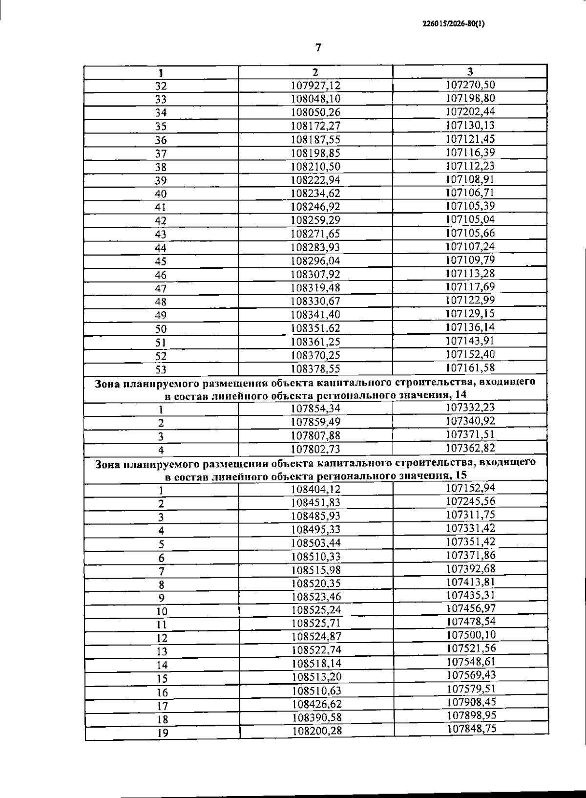
"Об утверждении проекта планировки с проектом межевания территории для размещения линейного объекта регионального значения "Фрунзенско-Приморская линия метрополитена от станции "Шуваловский проспект" до станции "Коломяжская" с электродепо "Коломяжское"
Номер опубликования: 7800202602050002
Дата опубликования: 05.02.2026
Страница №31 из 86:
Увеличить