Официальное опубликование правовых актов
ОФИЦИАЛЬНОЕ ОПУБЛИКОВАНИЕ
Постановление Правительства Санкт-Петербурга от 25.12.2025 № 1057
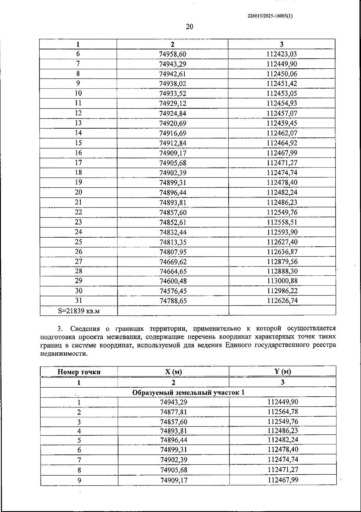
"Об утверждении проекта планировки с проектом межевания территории для размещения линейного объекта регионального значения "Магистраль №2 от Пулковского шоссе до проезда № 6"
Номер опубликования: 7800202512300013
Дата опубликования: 30.12.2025
Страница №46 из 59:
Увеличить