Официальное опубликование правовых актов
ОФИЦИАЛЬНОЕ ОПУБЛИКОВАНИЕ
Постановление Правительства Санкт-Петербурга от 24.12.2025 № 1037
"О внесении изменений в постановление Правительства Санкт-Петербурга от 09.09.2014 № 855"
Номер опубликования: 7800202512300010
Дата опубликования: 30.12.2025
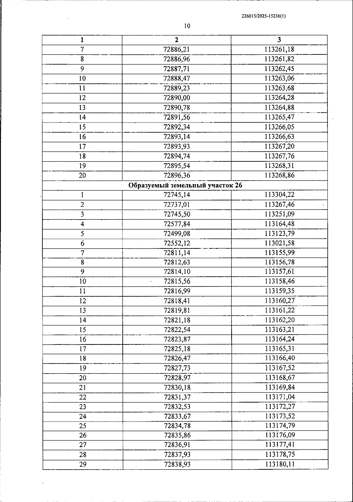
Страница №32 из 41:
Увеличить