Официальное опубликование правовых актов
ОФИЦИАЛЬНОЕ ОПУБЛИКОВАНИЕ
Постановление Правительства Санкт-Петербурга от 10.12.2025 № 981
"О внесении изменений в постановление Правительства Санкт-Петербурга от 03.02.2009 № 126"
Номер опубликования: 7800202512170002
Дата опубликования: 17.12.2025
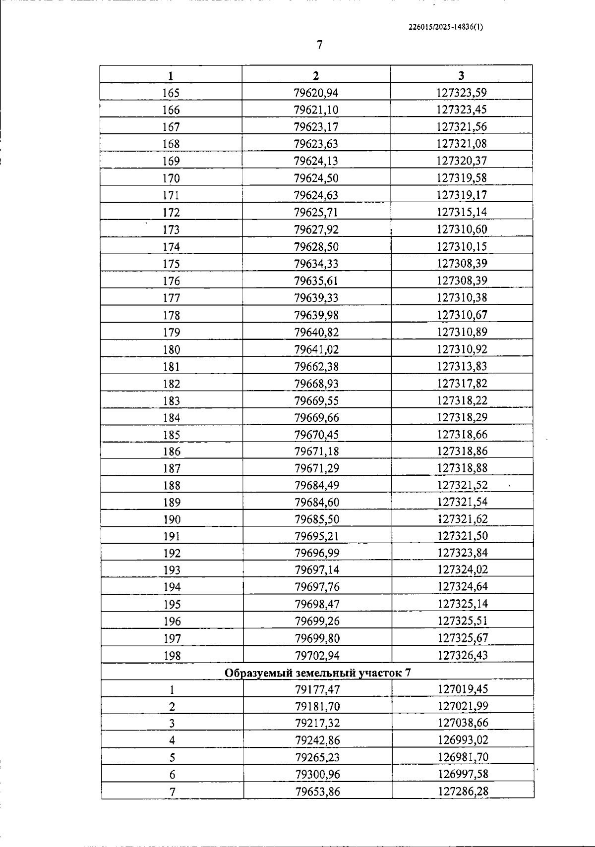
Страница №25 из 40:
Увеличить