Официальное опубликование правовых актов
ОФИЦИАЛЬНОЕ ОПУБЛИКОВАНИЕ
Постановление Правительства Санкт-Петербурга от 10.12.2025 № 963
"О внесении изменений в постановление Правительства Санкт-Петербурга от 15.04.2010 № 376"
Номер опубликования: 7800202512170001
Дата опубликования: 17.12.2025
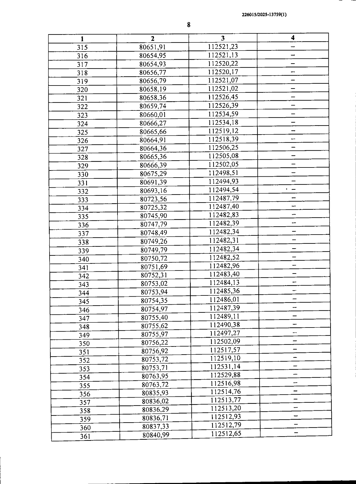
Страница №29 из 57:
Увеличить