Официальное опубликование правовых актов
ОФИЦИАЛЬНОЕ ОПУБЛИКОВАНИЕ
Постановление Правительства Санкт-Петербурга от 05.12.2025 № 933
"О внесении изменений в постановление Правительства Санкт-Петербурга от 13.12.2011 № 1688"
Номер опубликования: 7800202512120002
Дата опубликования: 12.12.2025
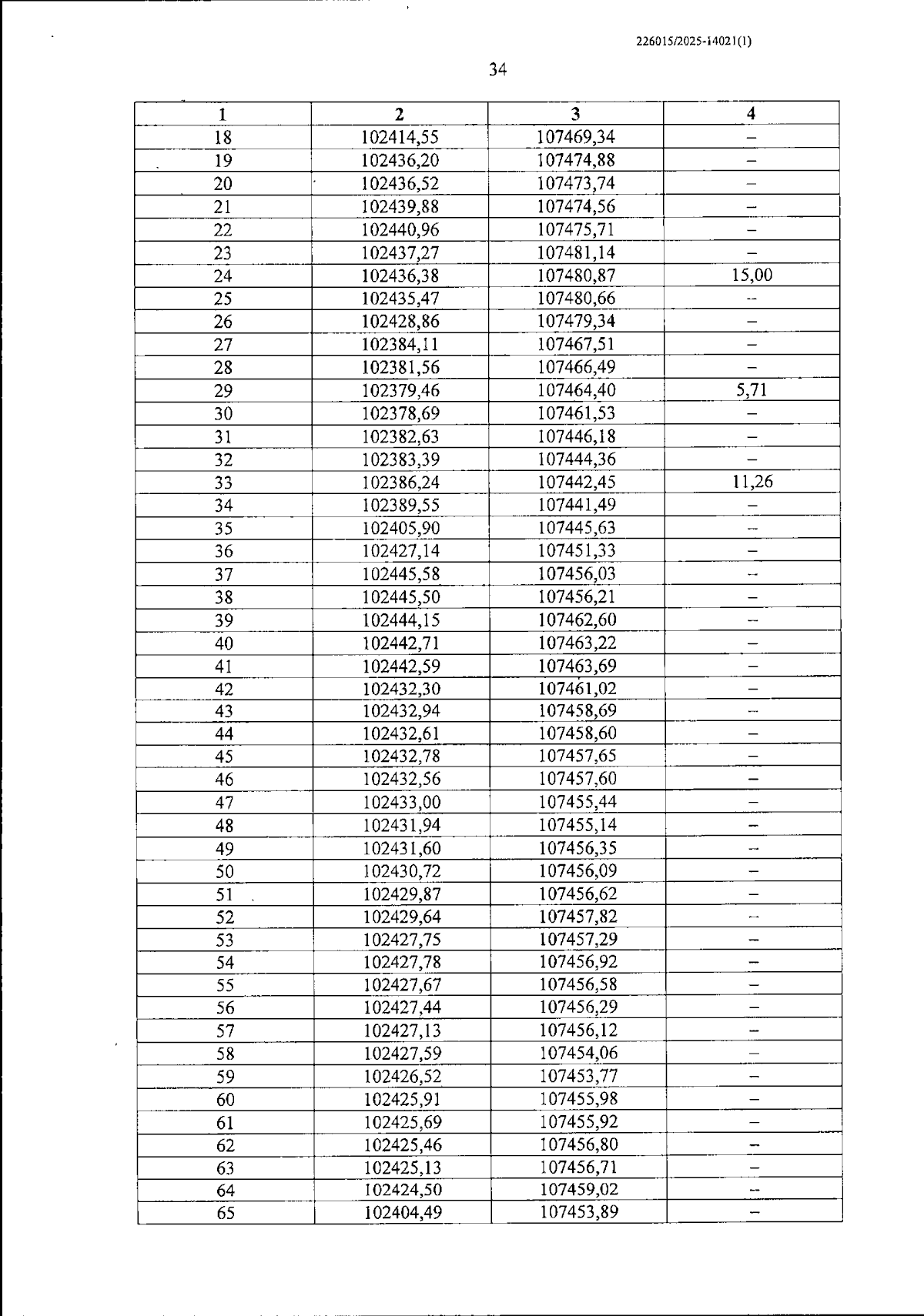
Страница №49 из 53:
Увеличить