Официальное опубликование правовых актов
ОФИЦИАЛЬНОЕ ОПУБЛИКОВАНИЕ
Постановление Правительства Санкт-Петербурга от 11.11.2025 № 845
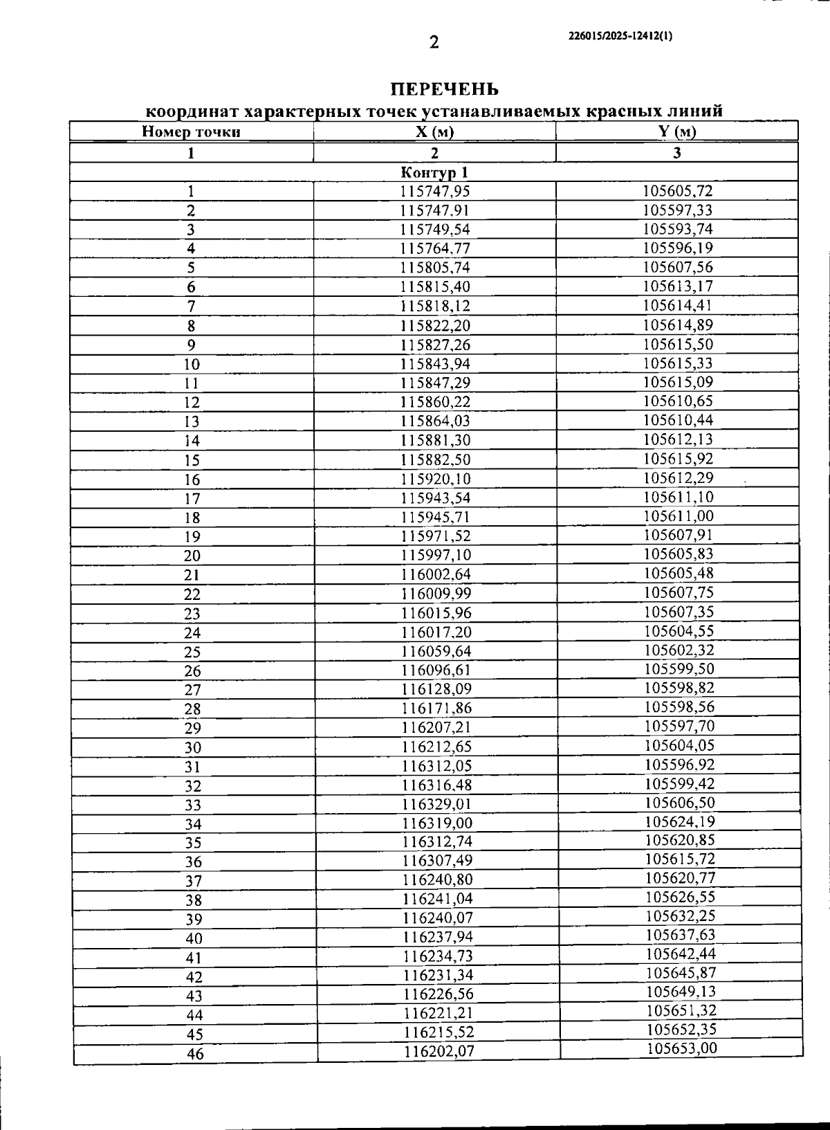
"Об утверждении проекта планировки с проектом межевания территории для размещения линейного объекта регионального значения "улица от Советской ул. до дома № 26 Танкового городка в пос. Песочный"
Номер опубликования: 7800202511140005
Дата опубликования: 14.11.2025
Страница №4 из 21:
Увеличить