Официальное опубликование правовых актов
ОФИЦИАЛЬНОЕ ОПУБЛИКОВАНИЕ
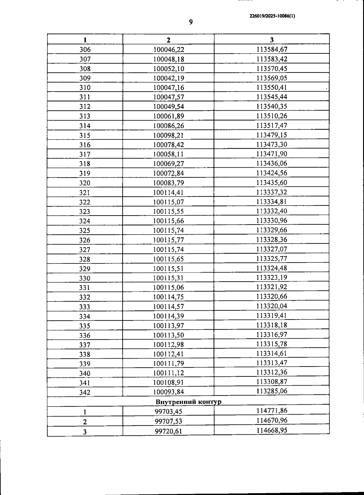
Постановление Правительства Санкт-Петербурга от 09.09.2025 № 641
"Об утверждении проекта планировки с проектом межевания территории для размещения линейного объекта регионального значения "Белоостровская ул. от Торжковской ул. до Кантемировской ул., включая пл. Академика Климова"
Номер опубликования: 7800202509150006
Дата опубликования: 15.09.2025
Страница №28 из 65:
Увеличить