Официальное опубликование правовых актов
ОФИЦИАЛЬНОЕ ОПУБЛИКОВАНИЕ
Постановление Правительства Санкт-Петербурга от 09.09.2025 № 630
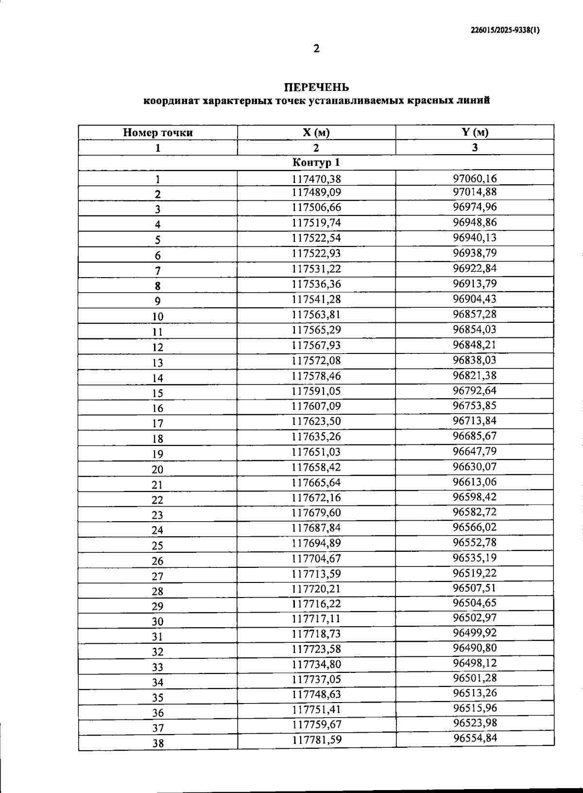
"Об утверждении проекта планировки с проектом межевания территории для размещения линейного объекта регионального значения "Продолжение Белоостровского шоссе от административной границы Санкт-Петербурга до Александровского шоссе"
Номер опубликования: 7800202509120006
Дата опубликования: 12.09.2025
Страница №4 из 38:
Увеличить