Официальное опубликование правовых актов
ОФИЦИАЛЬНОЕ ОПУБЛИКОВАНИЕ
Постановление Правительства Санкт-Петербурга от 22.07.2025 № 518
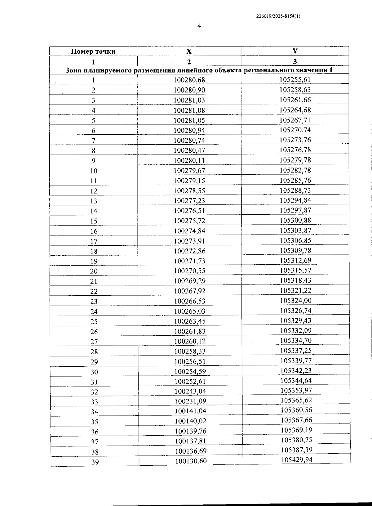
"Об утверждении проекта планировки с проектом межевания территории для размещения линейных объектов регионального значения "Высотная ул. от Лахтинского пр. до Водной ул.", "Водная ул. от Высотной ул. до Береговой ул.", "Береговая ул. от Водной ул. до Пелевого пер.", "Полевой пер. от Береговой ул. до Высотной ул.", "Пляжевый пер. от Бобыльской ул. до Водной ул.", "Бобыльская ул. от Пляжного пер. до переулка без названия", "Переулок без названия от Бобыльской ул. до Водной ул." с подключением к существующей улично-дорожной сети"
Номер опубликования: 7800202507280003
Дата опубликования: 28.07.2025
Страница №22 из 90:
Увеличить