Официальное опубликование правовых актов
ОФИЦИАЛЬНОЕ ОПУБЛИКОВАНИЕ
Постановление Правительства Санкт-Петербурга от 17.06.2025 № 437
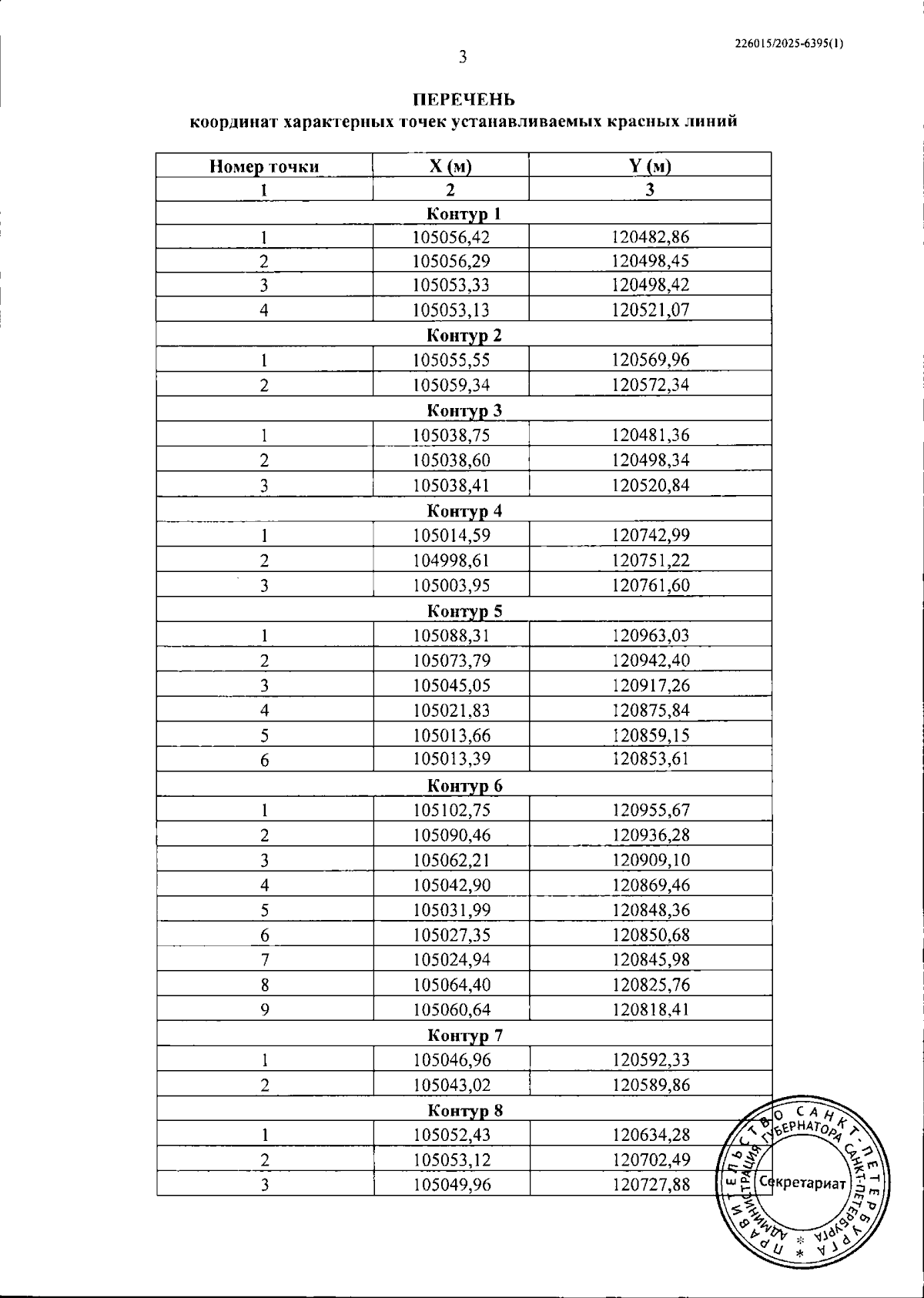
"Об утверждении проекта планировки с проектом межевания территории для размещения линейного объекта регионального значения "Пешеходный переход от пр. Маршака (в створе ул.Даниила Хармса) через КАД и железнодорожные пути у железнодорожной платформы "Мурино"
Номер опубликования: 7800202506230004
Дата опубликования: 23.06.2025
Страница №5 из 28:
Увеличить