Официальное опубликование правовых актов
ОФИЦИАЛЬНОЕ ОПУБЛИКОВАНИЕ
Постановление Правительства Санкт-Петербурга от 04.06.2025 № 394
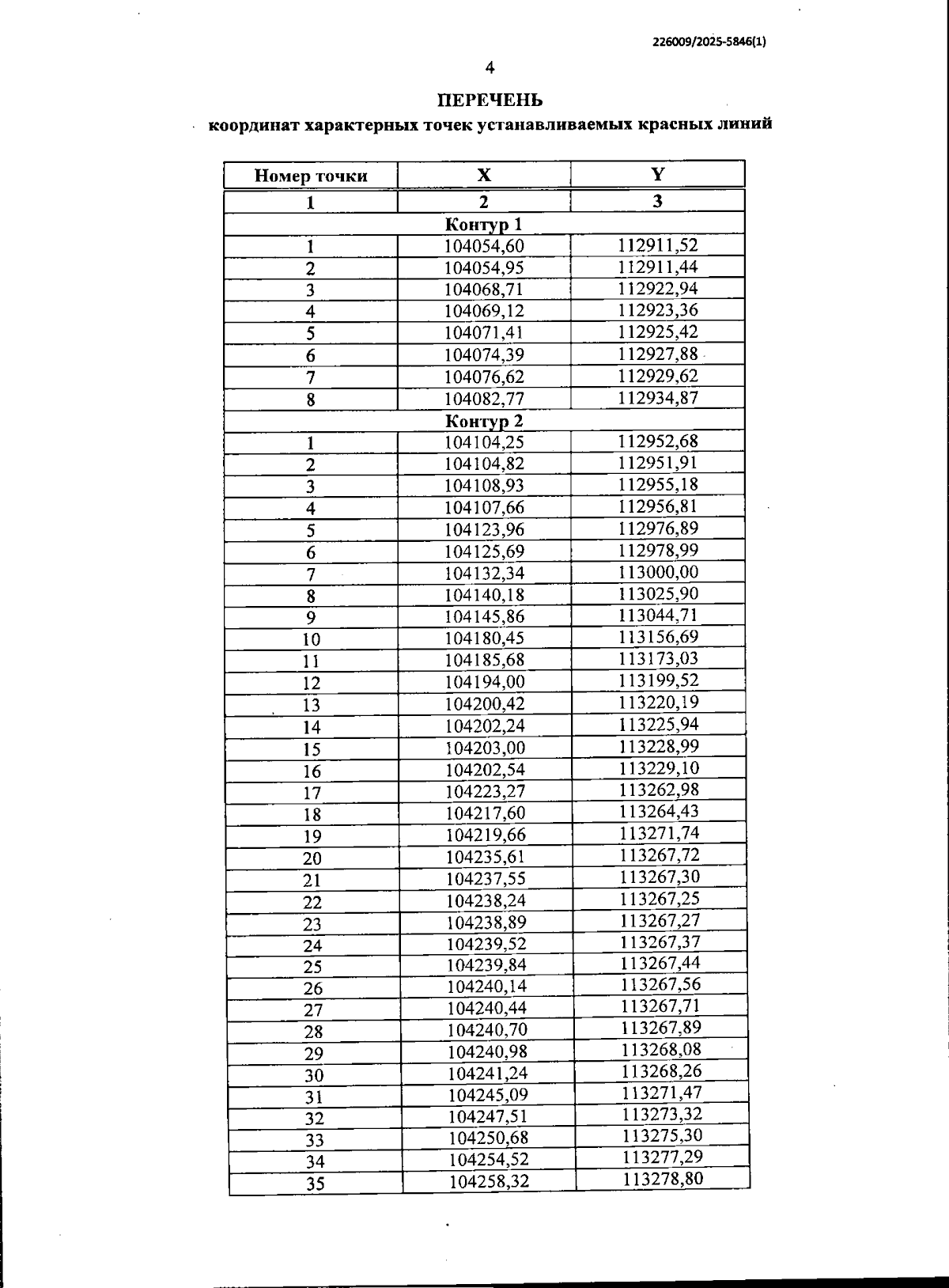
"Об утверждении проекта планировки с проектом межевания территории для размещения линейного объекта регионального значения "Транспортные развязки в районе Поклонной горы. 1 этап. Путепровод в створе Поклонногорской ул.через ж-д. пути Выборгского направления"
Номер опубликования: 7800202506100001
Дата опубликования: 10.06.2025
Страница №6 из 66:
Увеличить