Постановление Правительства Санкт-Петербурга от 28.05.2025 № 355
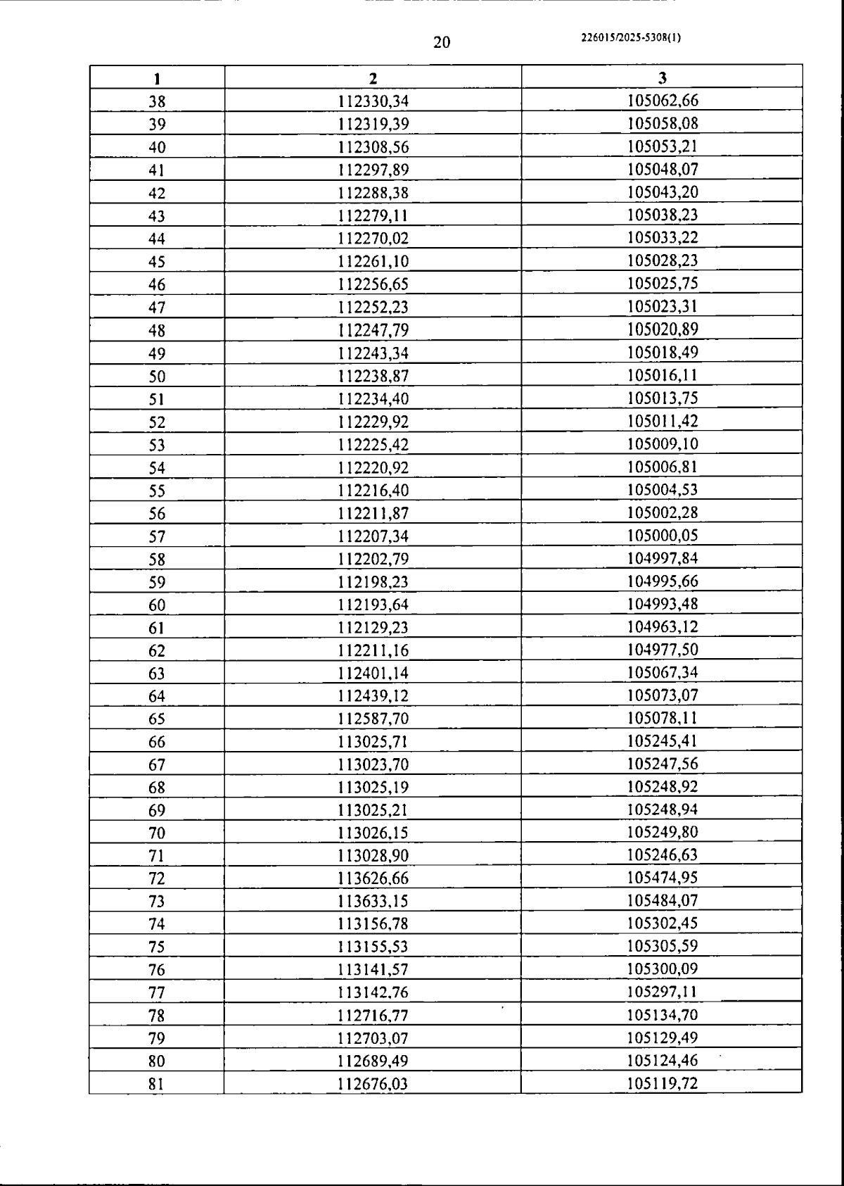
"Об утверждении проекта планировки с проектом межевания территории для размещения линейного объекта регионального значения "Горское шоссе от ул. Добрая Горка до Садовой ул. с путепроводом через железнодорожные пути Выборгского направления"
"Об утверждении проекта планировки с проектом межевания территории для размещения линейного объекта регионального значения "Горское шоссе от ул. Добрая Горка до Садовой ул. с путепроводом через железнодорожные пути Выборгского направления"
Номер опубликования: 7800202506030001
Дата опубликования:
03.06.2025
