Официальное опубликование правовых актов
ОФИЦИАЛЬНОЕ ОПУБЛИКОВАНИЕ
Постановление Правительства Санкт-Петербурга от 21.05.2025 № 338
"О внесении изменений в постановление Правительства Санкт-Петербурга от 23.06.2014 № 491"
Номер опубликования: 7800202505260004
Дата опубликования: 26.05.2025
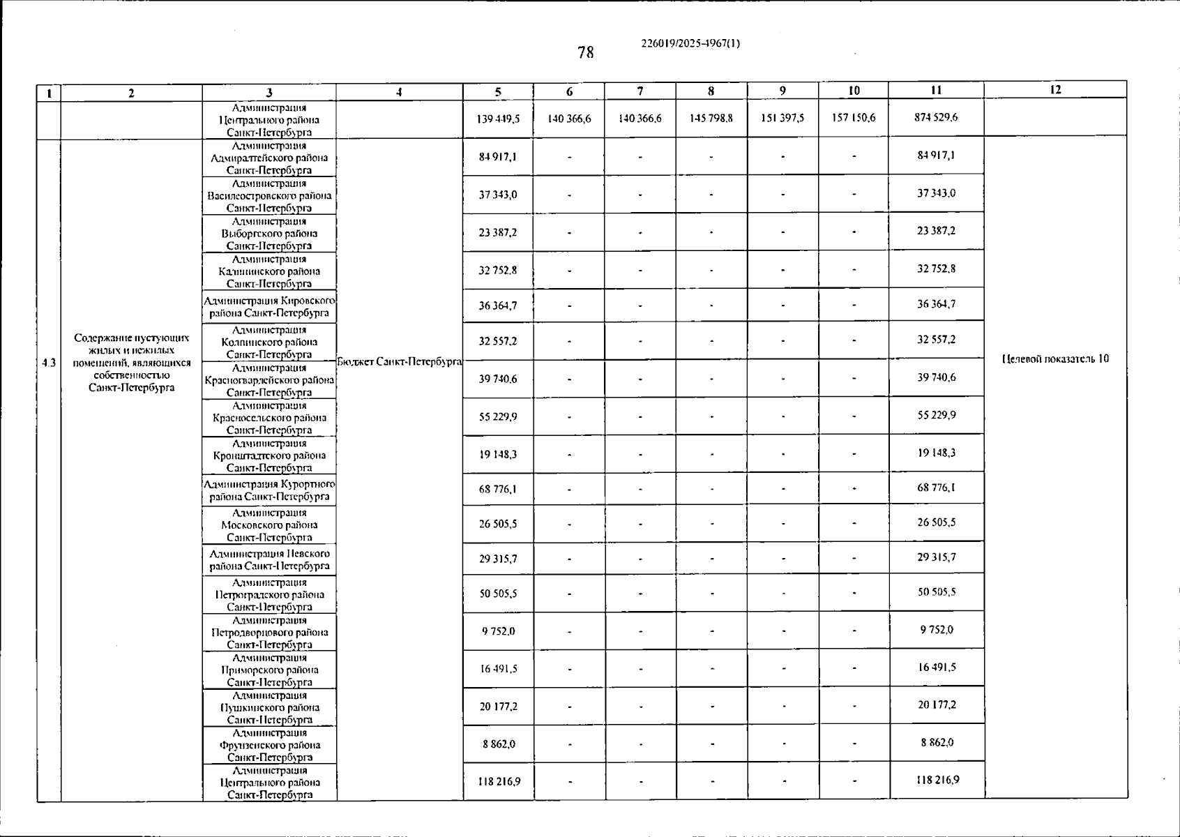
Страница №79 из 90:
Увеличить