Официальное опубликование правовых актов
ОФИЦИАЛЬНОЕ ОПУБЛИКОВАНИЕ
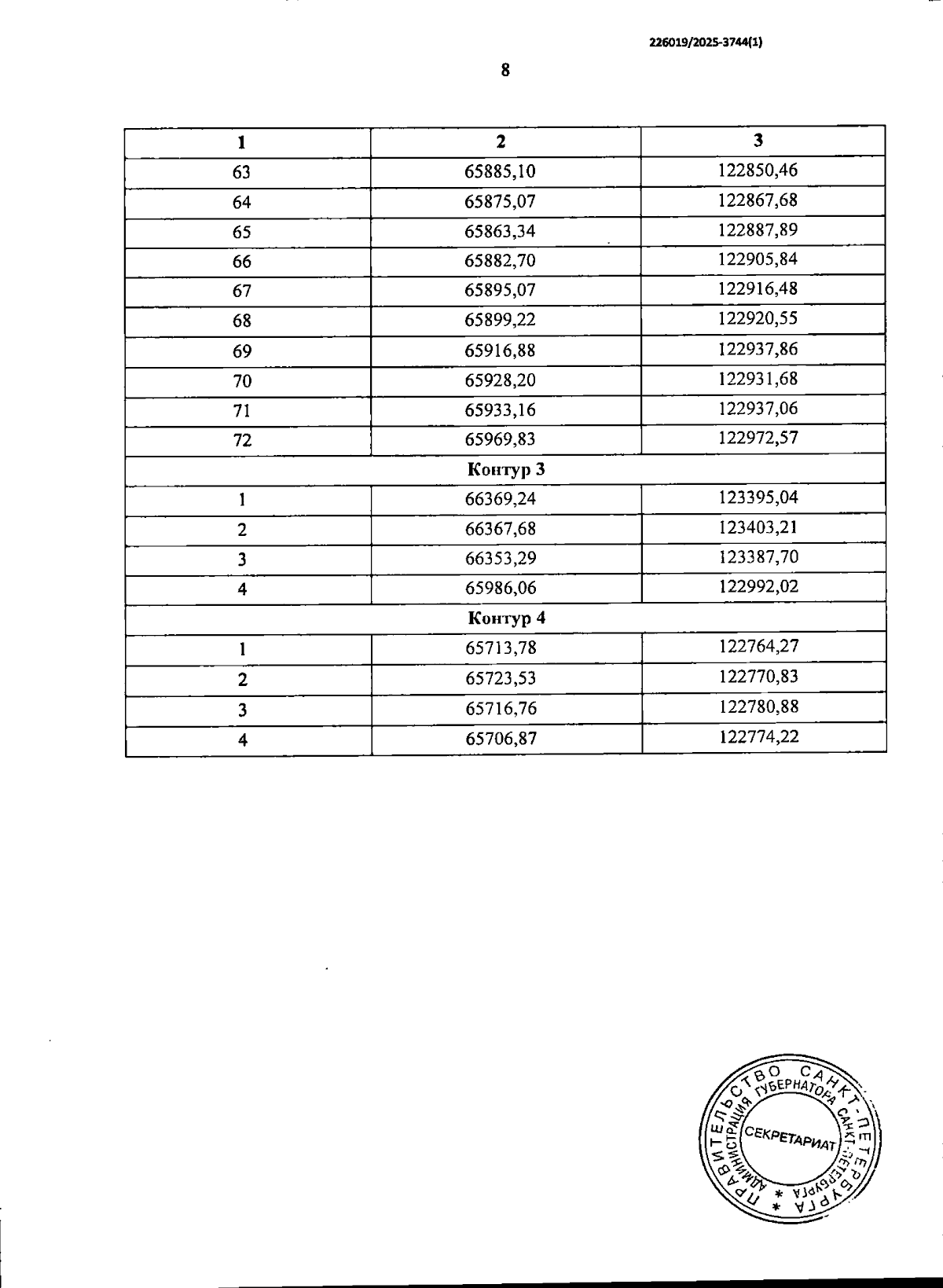
Постановление Правительства Санкт-Петербурга от 22.04.2025 № 259
"Об утверждении проекта планировки с проектом межевания территории для размещения линейного объекта регионального значения "Пограничная Фёдоровская дор."
Номер опубликования: 7800202504280013
Дата опубликования: 28.04.2025
Страница №10 из 34:
Увеличить