Официальное опубликование правовых актов
ОФИЦИАЛЬНОЕ ОПУБЛИКОВАНИЕ
Постановление Правительства Санкт-Петербурга от 22.04.2025 № 260
"Об утверждении проекта планировки с проектом межевания территории для размещения линейного объекта регионального значения "улица от Белоостровской ул. до Кантемировской ул."
Номер опубликования: 7800202504280010
Дата опубликования: 28.04.2025
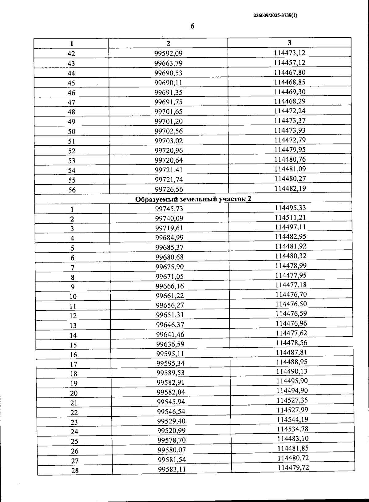
Страница №17 из 19:
Увеличить