Официальное опубликование правовых актов
ОФИЦИАЛЬНОЕ ОПУБЛИКОВАНИЕ
Постановление Правительства Санкт-Петербурга от 26.02.2025 № 100
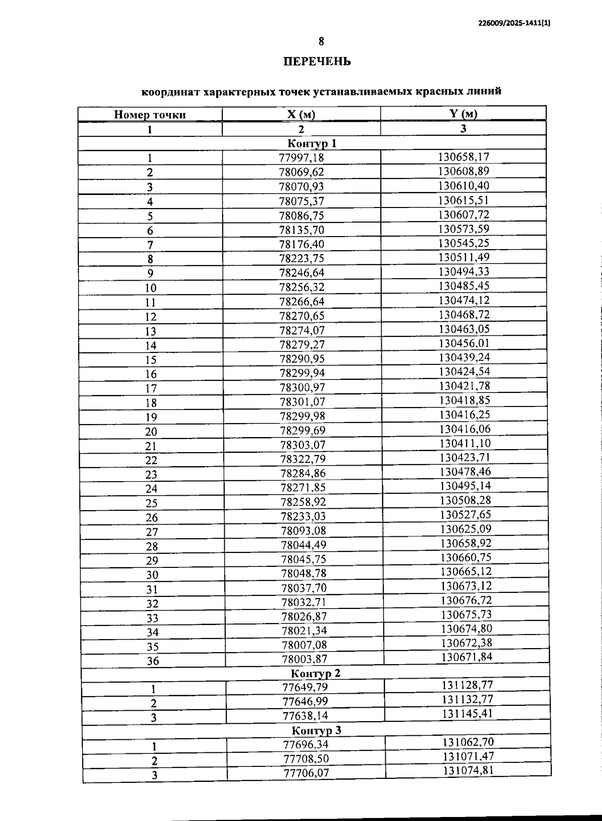
"Об утверждении проекта планировки с проектом межевания территории для размещения линейного объекта регионального значения "ул.Александра Товпеко от Фанерной ул. в северо-западном направлении и от Пикалёвской ул. в юго-восточном направлении"
Номер опубликования: 7800202503050002
Дата опубликования: 05.03.2025
Страница №10 из 46:
Увеличить