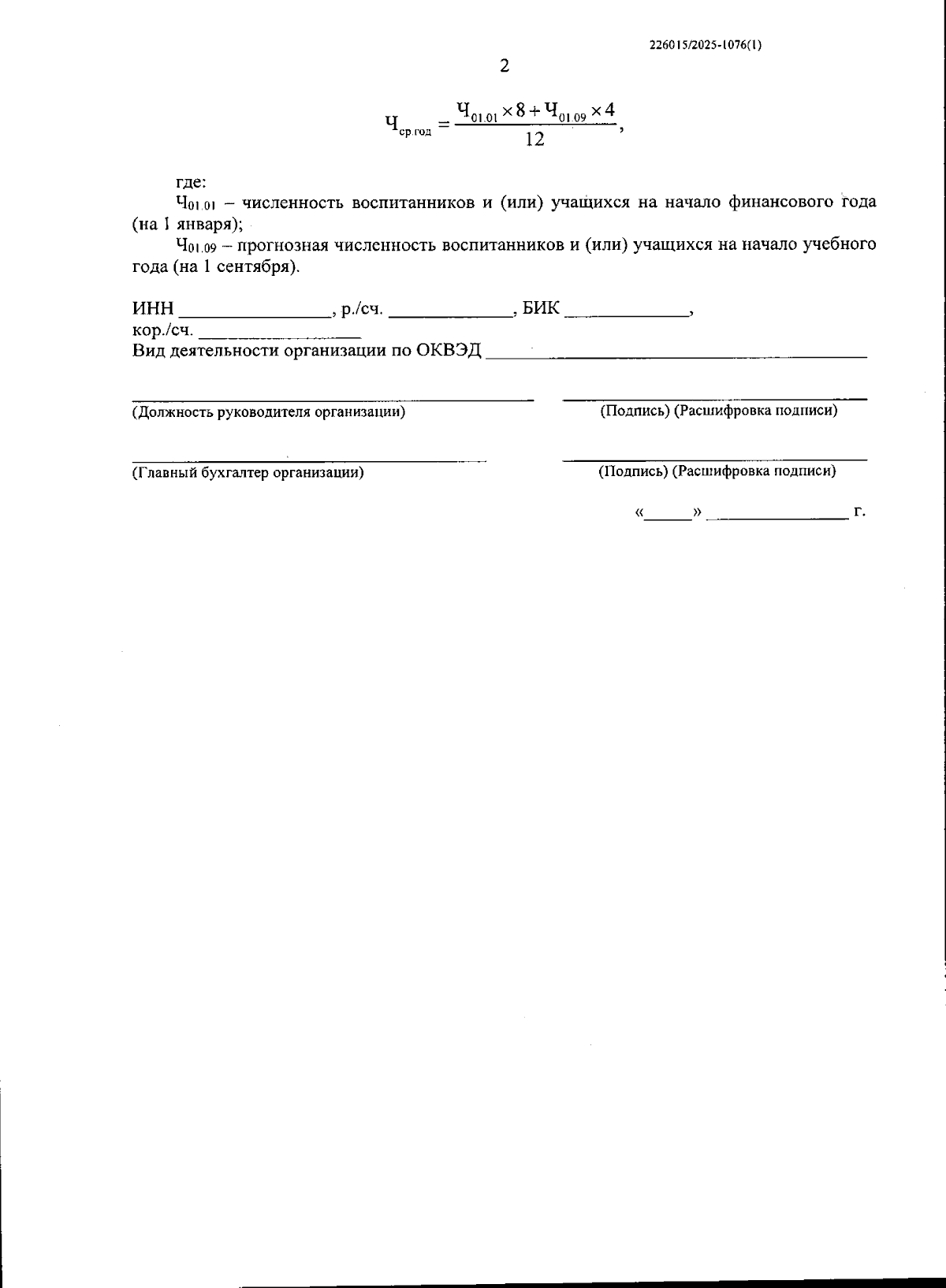
Постановление Правительства Санкт-Петербурга от 26.02.2025 № 91
"О предоставлении в 2025 году субсидий в целях финансового обеспечения затрат для реализации основных общеобразовательных программ и дополнительных общеобразовательных программ частным образовательным организациям"
"О предоставлении в 2025 году субсидий в целях финансового обеспечения затрат для реализации основных общеобразовательных программ и дополнительных общеобразовательных программ частным образовательным организациям"
Номер опубликования: 7800202503040001
Дата опубликования:
04.03.2025
