Официальное опубликование правовых актов
ОФИЦИАЛЬНОЕ ОПУБЛИКОВАНИЕ
Постановление Правительства Санкт-Петербурга от 12.02.2025 № 71
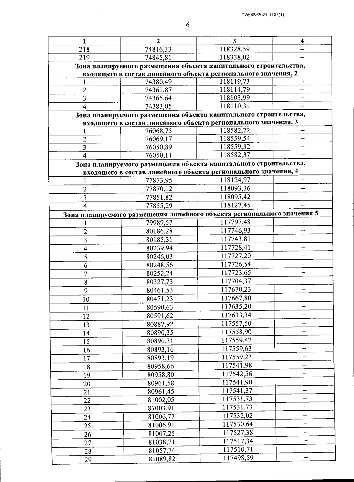
"Об утверждении проекта планировки с проектом межевания территории для размещения линейного объекта регионального значения "Витебский пр. от кольцевой автомобильной дороги вокруг Санкт-Петербурга до Петербургского шоссе"
Номер опубликования: 7800202502200006
Дата опубликования: 20.02.2025
Страница №45 из 97:
Увеличить