Официальное опубликование правовых актов
ОФИЦИАЛЬНОЕ ОПУБЛИКОВАНИЕ
Постановление Правительства Санкт-Петербурга от 22.01.2025 № 23
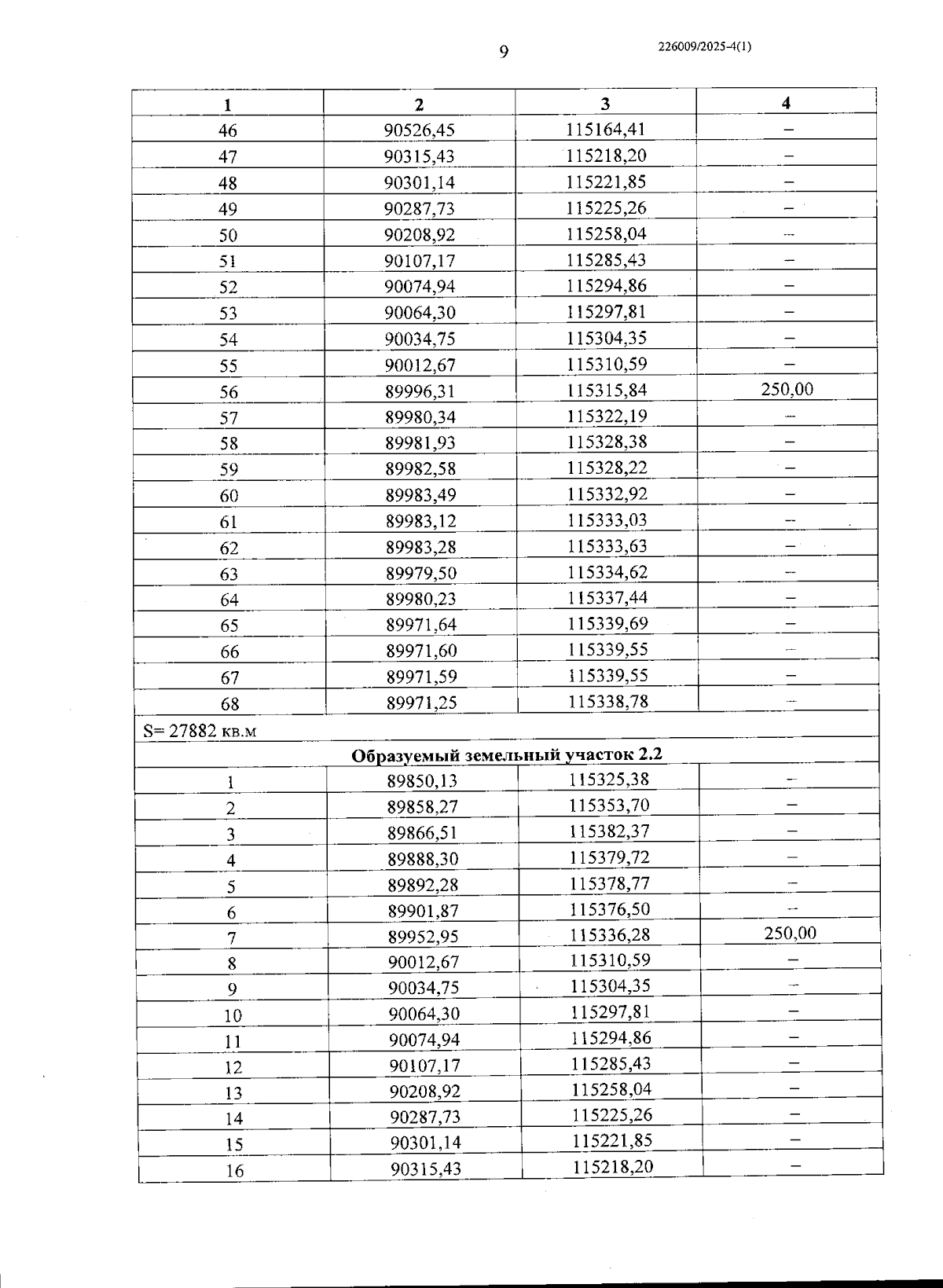
"Об утверждении проекта планировки с проектом межевания территории для размещения линейного объекта регионального значения "улица от Лиговского пр. до Северного железнодорожного полукольца"
Номер опубликования: 7800202501280004
Дата опубликования: 28.01.2025
Страница №29 из 40:
Увеличить