Официальное опубликование правовых актов
ОФИЦИАЛЬНОЕ ОПУБЛИКОВАНИЕ
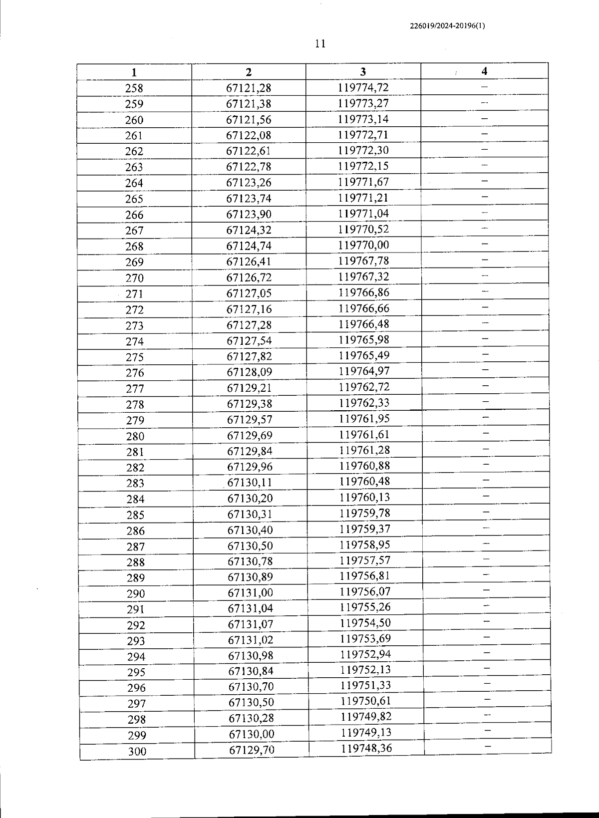
Постановление Правительства Санкт-Петербурга от 22.01.2025 № 20
"Об утверждении проекта планировки с проектом межевания территории, ограниченной ул.Архитектора Данини, полосой отвода Октябрьской ж.д., Вокзальной ул., Садовой ул., ул.Ломоносова, в Пушкинском районе"
Номер опубликования: 7800202501280002
Дата опубликования: 28.01.2025
Страница №33 из 85:
Увеличить