Постановление Правительства Санкт-Петербурга от 22.01.2025 № 19
"Об утверждении проекта планировки с проектом межевания территории для размещения линейного объекта регионального значения "Подъездная дорога от Понтонной ул. до Нового Колпинского городского кладбища"
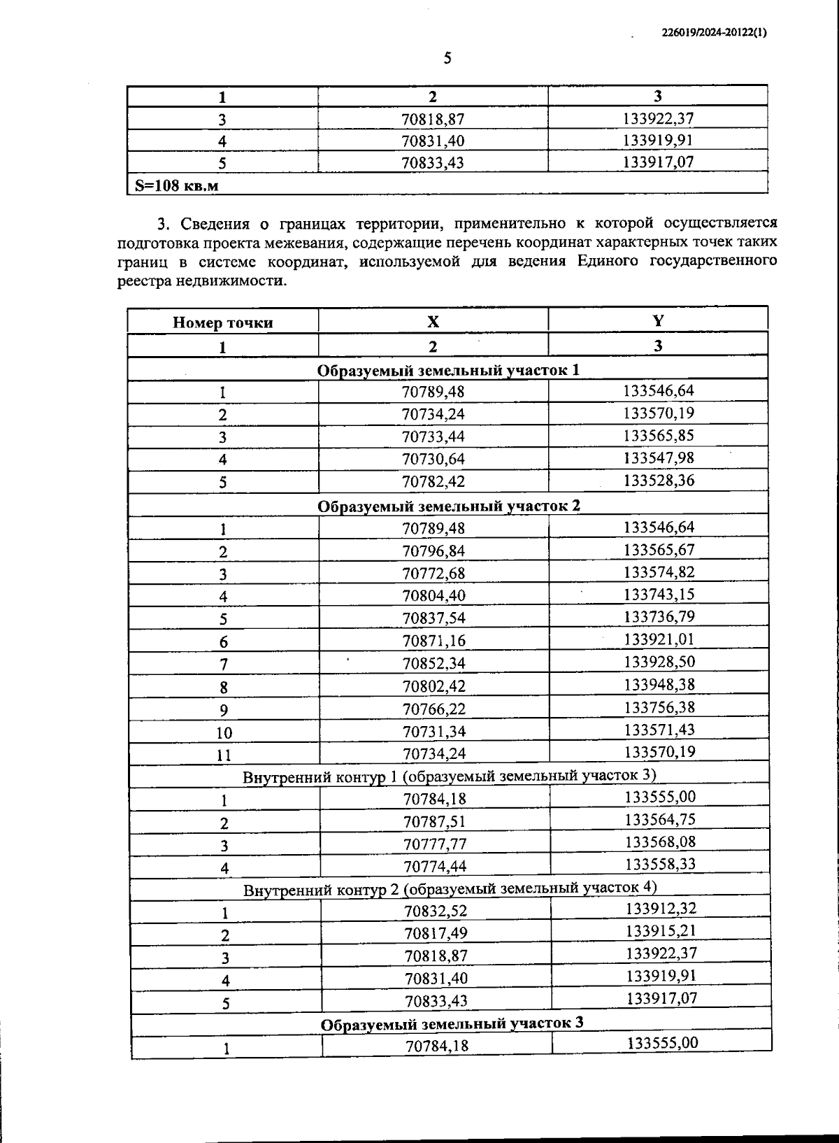
"Об утверждении проекта планировки с проектом межевания территории для размещения линейного объекта регионального значения "Подъездная дорога от Понтонной ул. до Нового Колпинского городского кладбища"
Номер опубликования: 7800202501280001
Дата опубликования:
28.01.2025
