Официальное опубликование правовых актов
ОФИЦИАЛЬНОЕ ОПУБЛИКОВАНИЕ
Постановление Правительства Санкт-Петербурга от 22.01.2025 № 24
"О внесении изменений в постановление Правительства Санкт-Петербурга от 15.06.2016 № 489"
Номер опубликования: 7800202501240001
Дата опубликования: 24.01.2025
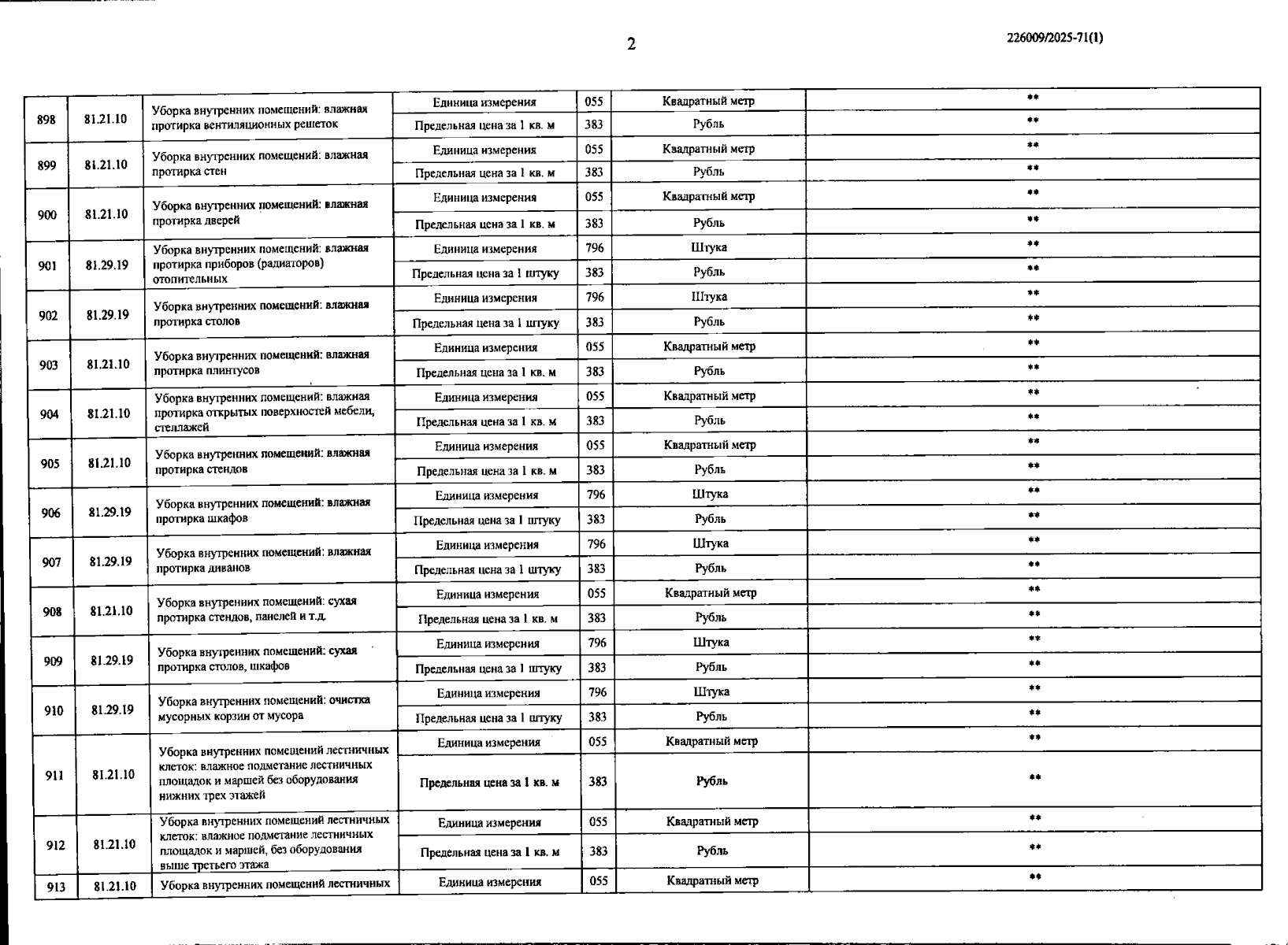
Страница №98 из 102:
Увеличить