Официальное опубликование правовых актов
ОФИЦИАЛЬНОЕ ОПУБЛИКОВАНИЕ
Постановление Правительства Санкт-Петербурга от 19.12.2024 № 1156
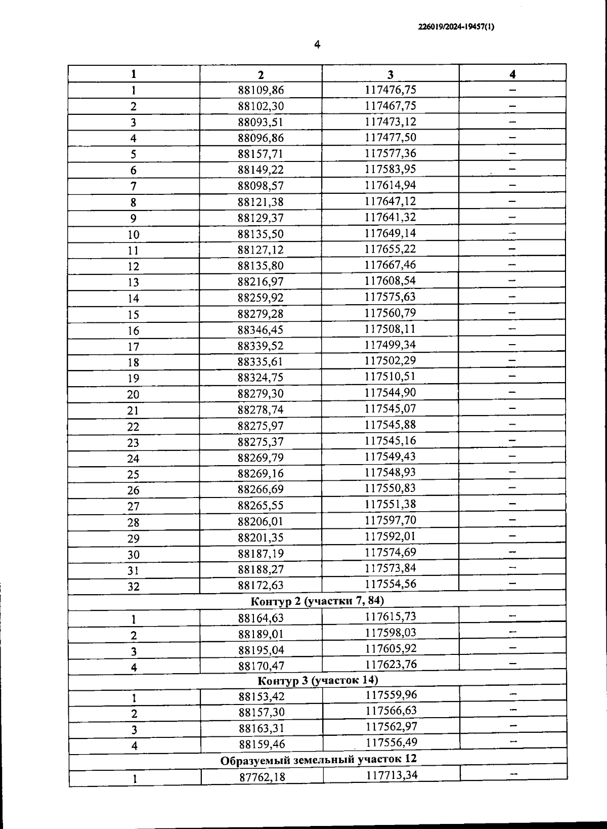
"Об утверждении проекта планировки с проектом межевания территории, ограниченной ул.Фучика, Софийской ул., ул.Белы Куна, Пражской ул., во Фрунзенском районе"
Номер опубликования: 7800202412260024
Дата опубликования: 26.12.2024
Страница №22 из 37:
Увеличить