Официальное опубликование правовых актов
ОФИЦИАЛЬНОЕ ОПУБЛИКОВАНИЕ
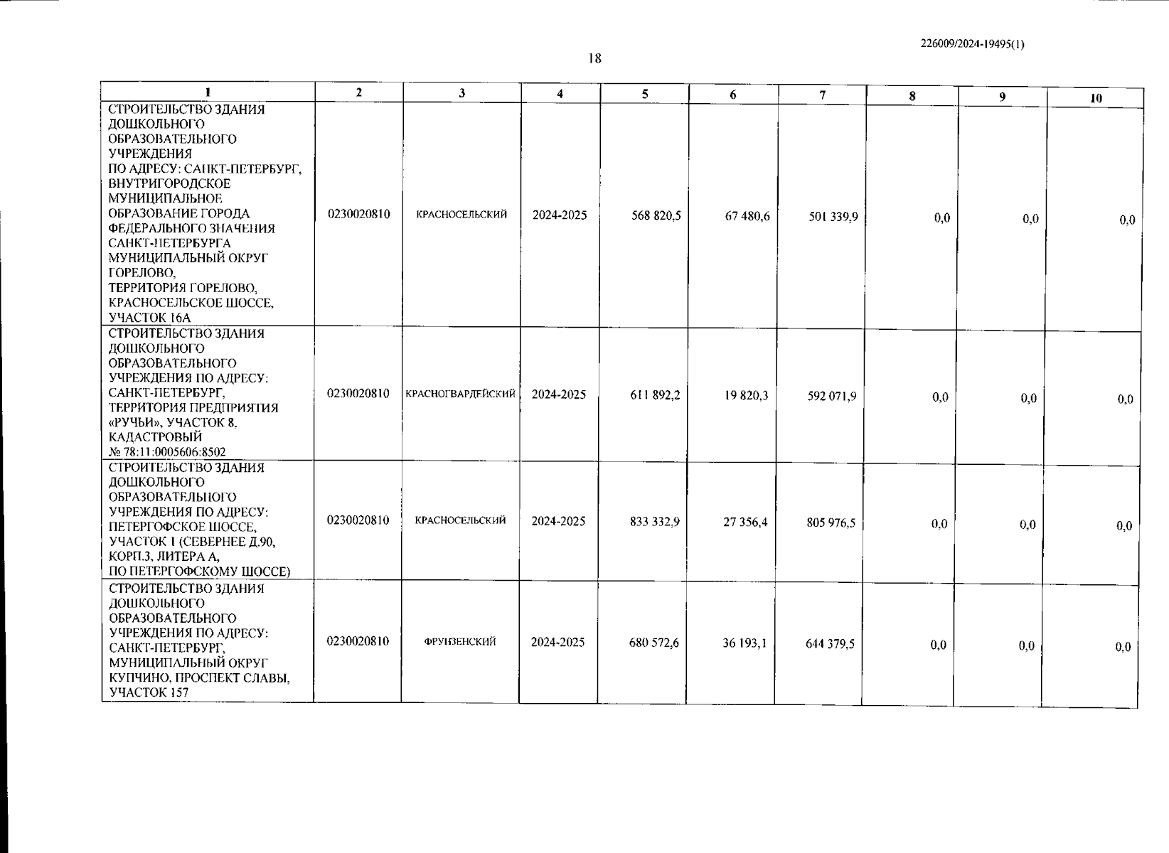
Постановление Правительства Санкт-Петербурга от 19.12.2024 № 1159
"О пообъектном распределении бюджетных ассигнований на осуществление капитальных вложений в существующие и создаваемые объекты капитального строительства государственной собственности Санкт-Петербурга и (или) приобретение за счет средств бюджета объектов недвижимого имущества в государственную собственность Санкт-Петербурга в соответствии с Адресной инвестиционной программой на 2025 год и на плановый период 2026 и 2027 годов"
Номер опубликования: 7800202412260008
Дата опубликования: 26.12.2024
Страница №19 из 102:
Увеличить