Официальное опубликование правовых актов
ОФИЦИАЛЬНОЕ ОПУБЛИКОВАНИЕ
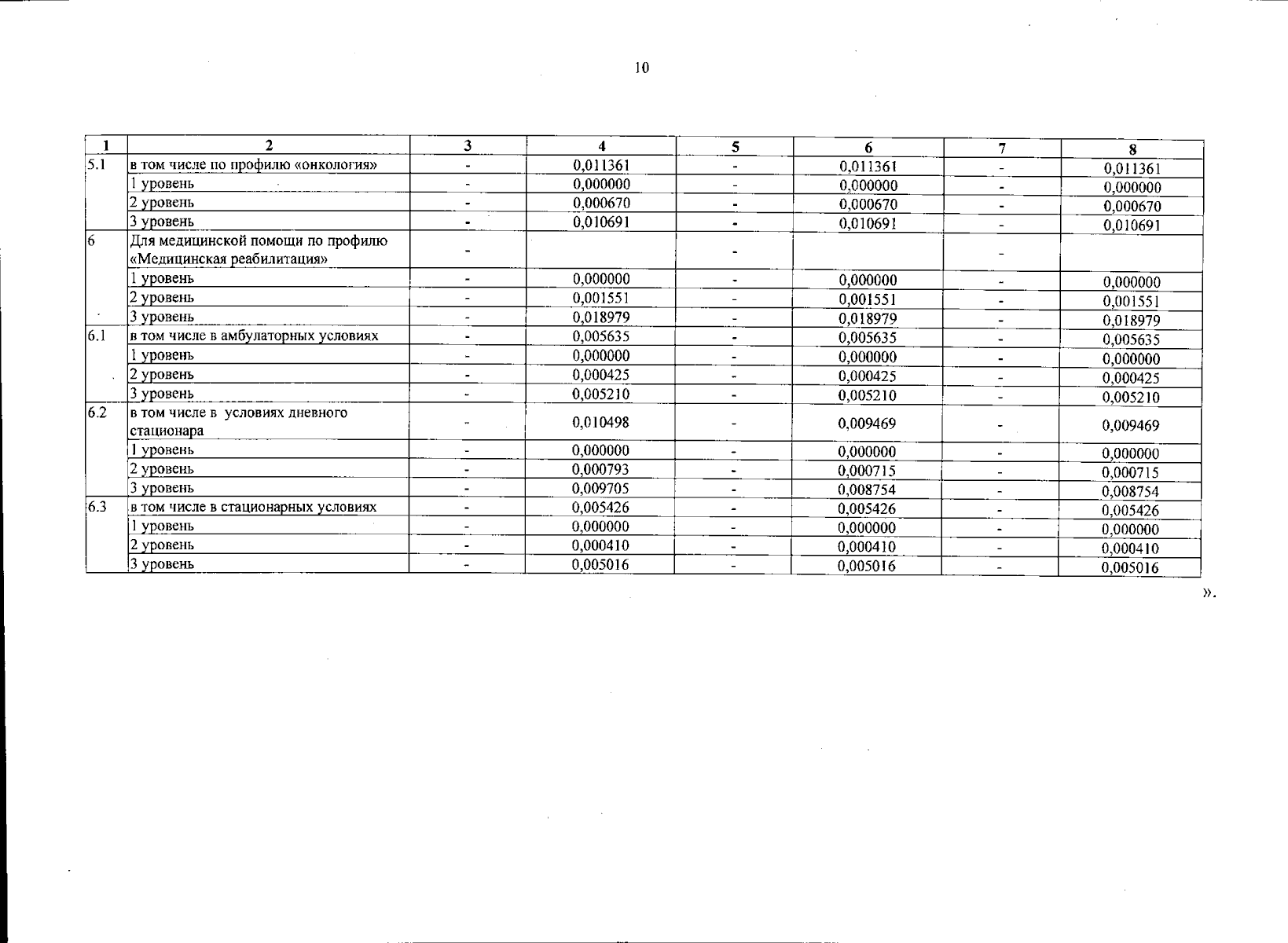
Закон Санкт-Петербурга от 18.12.2024 № 810-175
"О внесении изменений в Закон Санкт-Петербурга "О Территориальной программе государственных гарантий бесплатного оказания гражданам медицинской помощи в Санкт-Петербурге на 2024 год и на плановый период 2025 и 2026 годов" (принят Законодательным Собранием Санкт-Петербурга 18.12.2024, подписан Губернатором Санкт-Петербурга 19.12.2024)
Номер опубликования: 7800202412200008
Дата опубликования: 20.12.2024
Страница №10 из 101:
Увеличить