Официальное опубликование правовых актов
ОФИЦИАЛЬНОЕ ОПУБЛИКОВАНИЕ
Постановление Правительства Санкт-Петербурга от 13.12.2024 № 1118
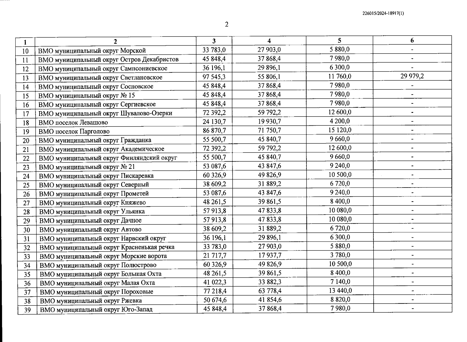
"О внесении изменений в постановление Правительства Санкт-Петербурга от 23.11.2016 № 1060 и об утверждении нормативов формирования расходов на оплату труда депутатов, выборных должностных лиц местного самоуправления внутригородских муниципальных образований города федерального значения Санкт-Петербурга, осуществляющих свои полномочия на постоянной основе, муниципальных служащих и содержание органов местного самоуправления внутригородских муниципальных образований города федерального значения Санкт-Петербурга на 2025 год"
Номер опубликования: 7800202412200001
Дата опубликования: 20.12.2024
Страница №5 из 8:
Увеличить