Постановление Правительства Санкт-Петербурга от 29.10.2024 № 955
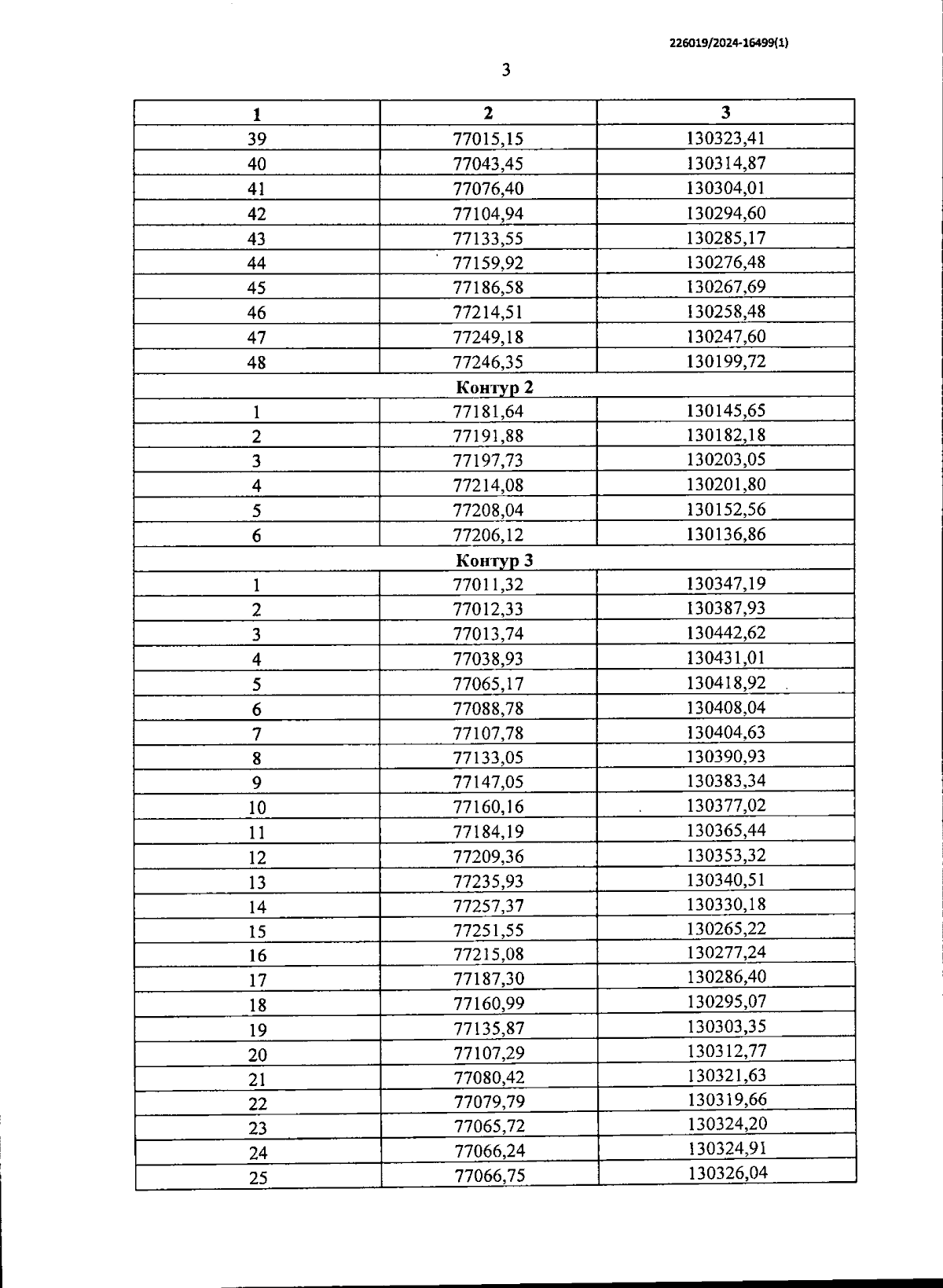
"Об утверждении проекта планировки с проектом межевания территории для размещения линейных объектов регионального значения "Колпинская ул., проезды к земельным участкам по адресу: Санкт-Петербург, пос. Понтонный, Колпинская ул., участки 3, 9, 12, 23, 16, 17, 18, 19, 20, 11, 2, 24, 21, 25, 22, 26, 10, 27 (юго-восточнее дома № 2, литера А по Колпинской ул.)"
"Об утверждении проекта планировки с проектом межевания территории для размещения линейных объектов регионального значения "Колпинская ул., проезды к земельным участкам по адресу: Санкт-Петербург, пос. Понтонный, Колпинская ул., участки 3, 9, 12, 23, 16, 17, 18, 19, 20, 11, 2, 24, 21, 25, 22, 26, 10, 27 (юго-восточнее дома № 2, литера А по Колпинской ул.)"
Номер опубликования: 7800202411050009
Дата опубликования:
05.11.2024
