Официальное опубликование правовых актов
ОФИЦИАЛЬНОЕ ОПУБЛИКОВАНИЕ
Постановление Правительства Санкт-Петербурга от 22.10.2024 № 913
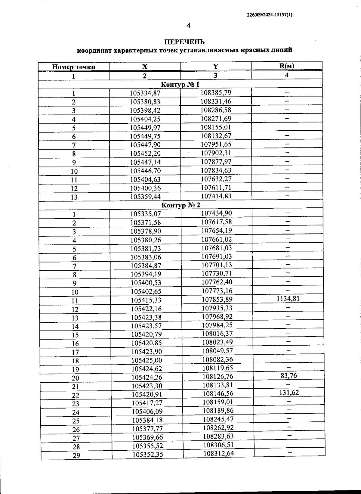
"Об утверждении проекта планировки с проектом межевания территории для размещения линейного объекта регионального значения "Верхне-Каменская ул. от Плесецкой ул. до пр.Авиаконструкторов"
Номер опубликования: 7800202410280002
Дата опубликования: 28.10.2024
Страница №6 из 27:
Увеличить