Официальное опубликование правовых актов
ОФИЦИАЛЬНОЕ ОПУБЛИКОВАНИЕ
Постановление Правительства Санкт-Петербурга от 24.09.2024 № 841
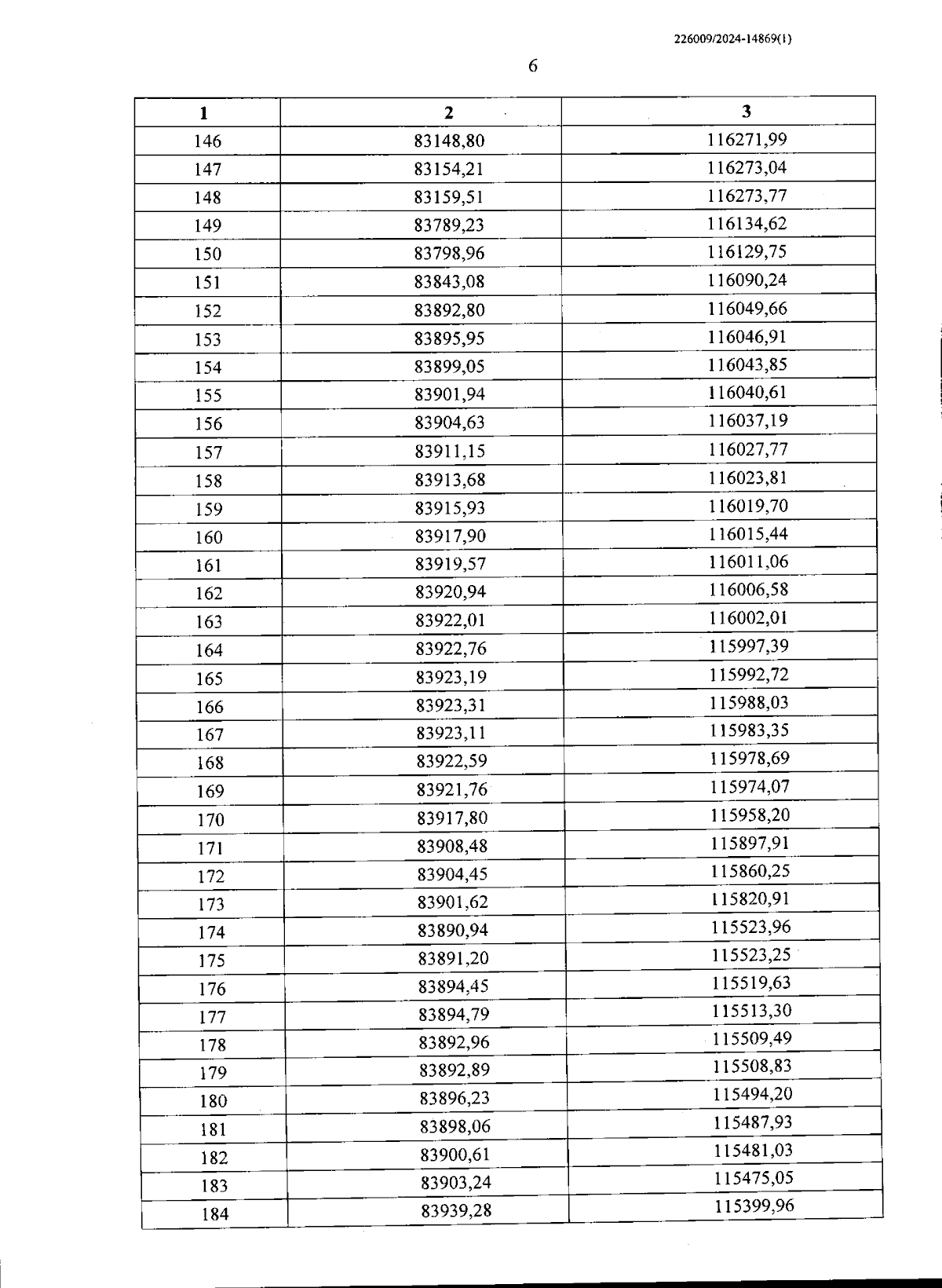
"Об утверждении проекта планировки с проектом межевания территории для размещения линейного объекта регионального значения "Реконструкция ВЛ 110 кВ Ленсоветовская-1 (по Схеме "Реконструкция участка лис-1") (ориентировочная протяженность 12,9 км)"
Номер опубликования: 7800202410020001
Дата опубликования: 02.10.2024
Страница №36 из 72:
Увеличить