Официальное опубликование правовых актов
ОФИЦИАЛЬНОЕ ОПУБЛИКОВАНИЕ
Постановление Правительства Санкт-Петербурга от 24.09.2024 № 830
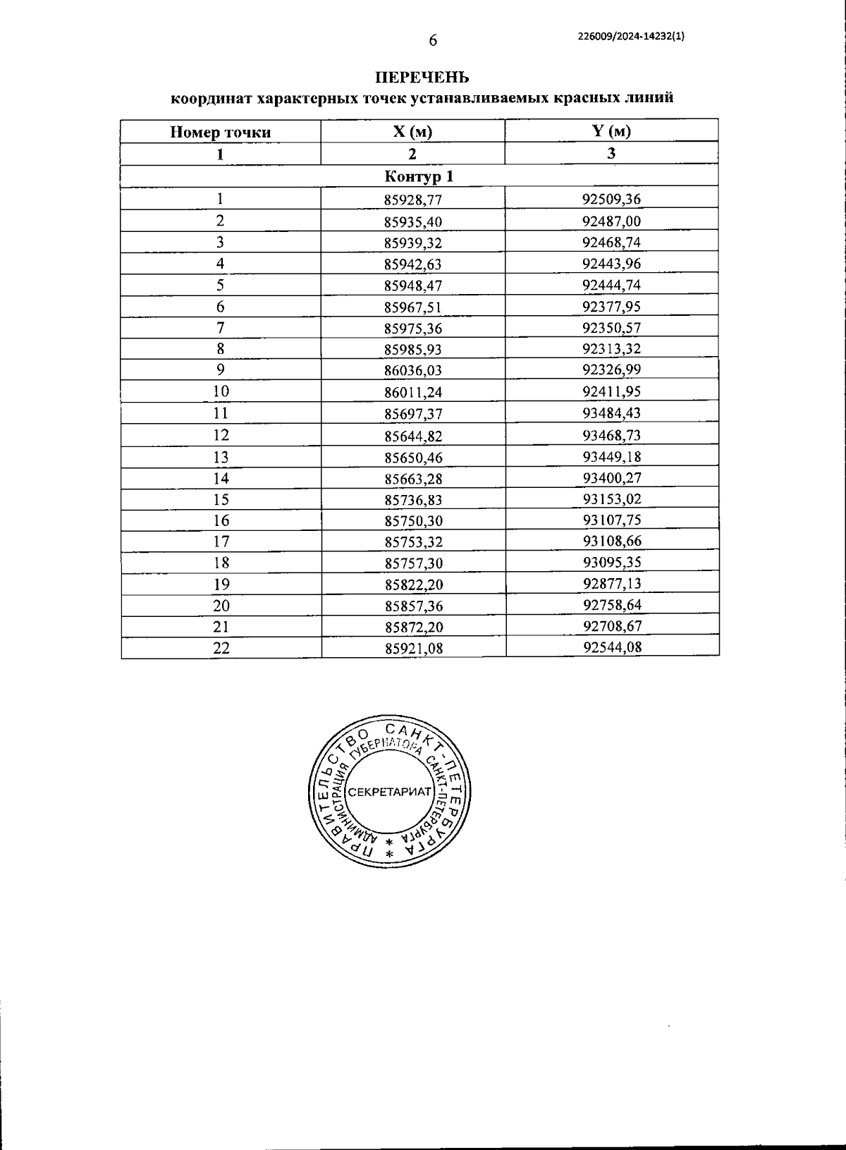
"Об утверждении проекта планировки с проектом межевания территории для размещения линейного объекта регионального значения "ул.Юты Бондаровской от Парковой ул. до Ропшинского шоссе"
Номер опубликования: 7800202409300006
Дата опубликования: 30.09.2024
Страница №8 из 31:
Увеличить