Официальное опубликование правовых актов
ОФИЦИАЛЬНОЕ ОПУБЛИКОВАНИЕ
Постановление Правительства Санкт-Петербурга от 20.08.2024 № 701
"О внесении изменений в постановление Правительства Санкт-Петербурга от 29.06.2010 № 868"
Номер опубликования: 7800202409040001
Дата опубликования: 04.09.2024
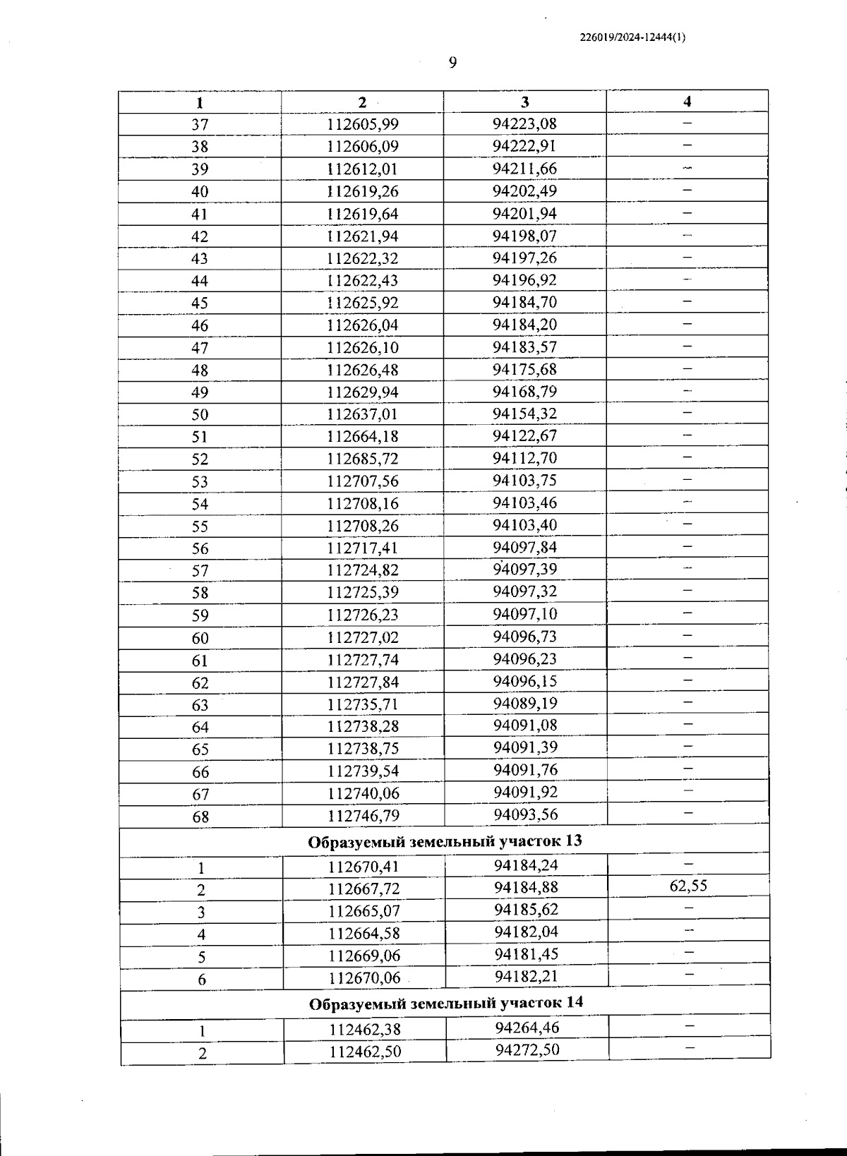
Страница №25 из 27:
Увеличить