Официальное опубликование правовых актов
ОФИЦИАЛЬНОЕ ОПУБЛИКОВАНИЕ
Постановление Правительства Санкт-Петербурга от 23.05.2024 № 383
"О внесении изменений в постановления Правительства Санкт-Петербурга от 04.06.2014 № 453, от 30.06.2014 № 552, от 12.12.2023 № 1320"
Номер опубликования: 7800202405290004
Дата опубликования: 29.05.2024
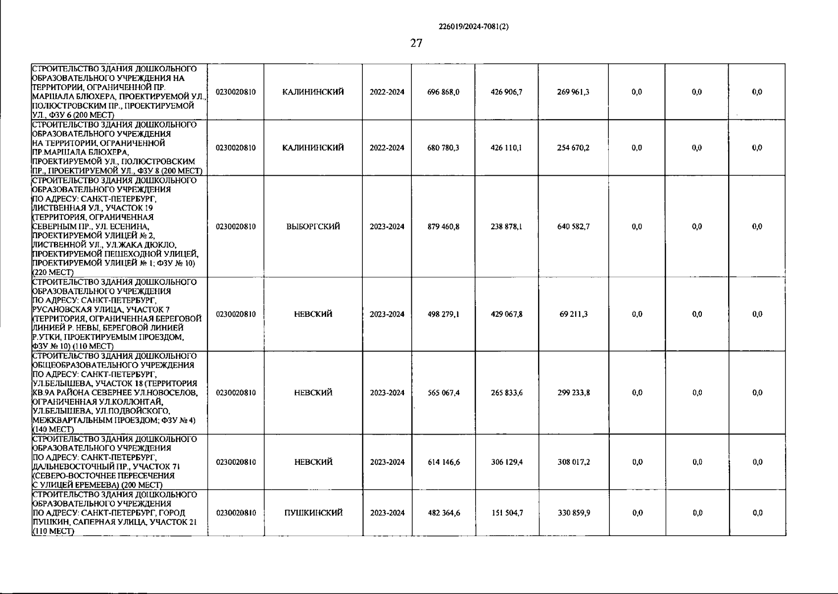
Страница №27 из 66:
Увеличить