Официальное опубликование правовых актов
ОФИЦИАЛЬНОЕ ОПУБЛИКОВАНИЕ
Постановление Правительства Санкт-Петербурга от 24.11.2023 № 1240
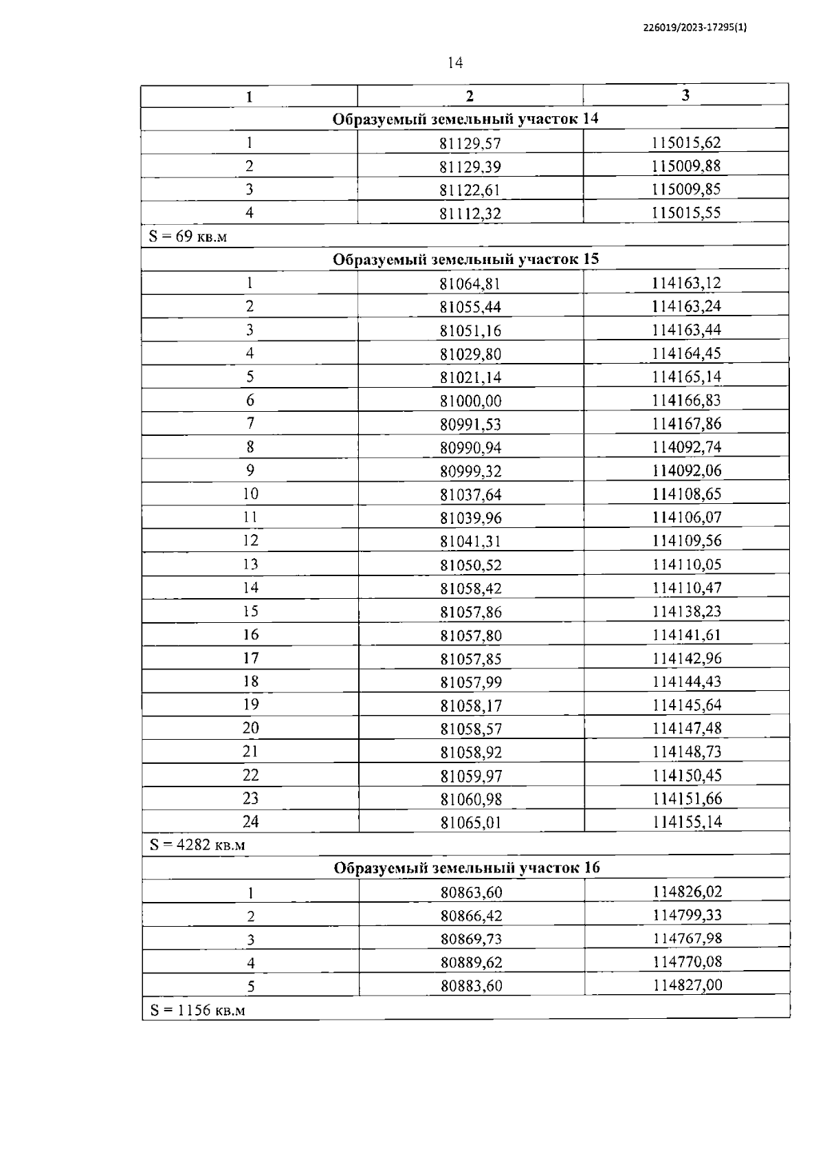
"Об утверждении проекта планировки с проектом межевания территории для размещения линейных объектов регионального значения "Транспортная развязка на пересечении Пулковского шоссе и Порховской ул., Порховская ул. от Пулковского шоссе до Себежского пер., Себежский пер. от Порховской ул. до Идрицкой ул., Идрицкая ул. от Великолукской ул. до Себежского пер."
Номер опубликования: 7800202311300001
Дата опубликования: 30.11.2023
Страница №42 из 58:
Увеличить