Официальное опубликование правовых актов
ОФИЦИАЛЬНОЕ ОПУБЛИКОВАНИЕ
Постановление Правительства Санкт-Петербурга от 16.11.2023 № 1205
"О внесении изменений в постановление Правительства Санкт-Петербурга от 17.06.2014 № 490"
Номер опубликования: 7800202311210003
Дата опубликования: 21.11.2023
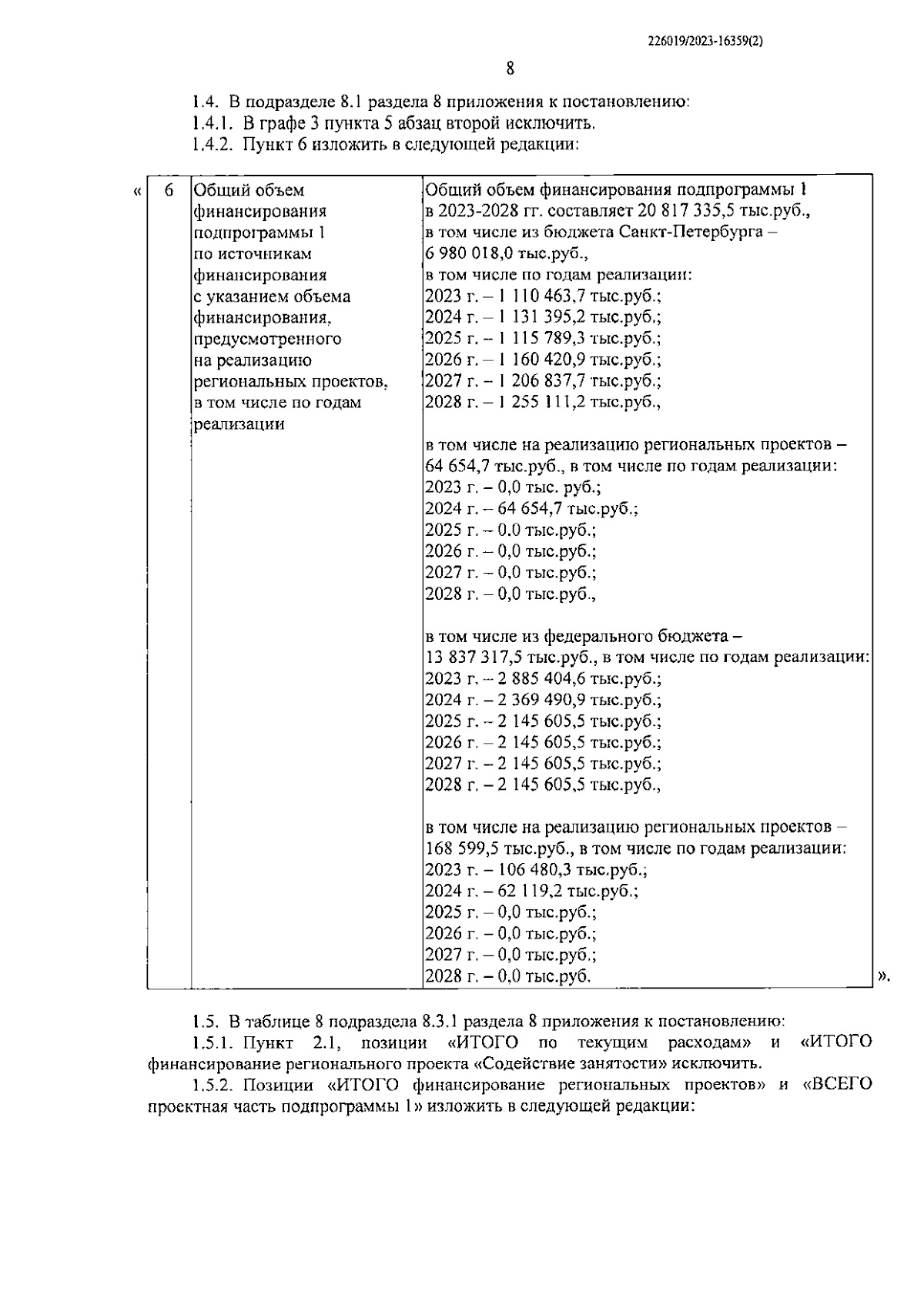
Страница №8 из 12:
Увеличить