Постановление Правительства Санкт-Петербурга от 13.11.2023 № 1189
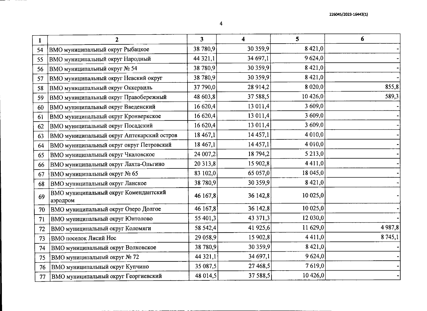
"Об утверждении нормативов формирования расходов на оплату труда депутатов, выборных должностных лиц местного самоуправления внутригородских муниципальных образований города федерального значения Санкт-Петербурга, осуществляющих свои полномочия на постоянной основе, муниципальных служащих и содержание органов местного самоуправления внутригородских муниципальных образований города федерального значения Санкт-Петербурга на 2024 год"
"Об утверждении нормативов формирования расходов на оплату труда депутатов, выборных должностных лиц местного самоуправления внутригородских муниципальных образований города федерального значения Санкт-Петербурга, осуществляющих свои полномочия на постоянной основе, муниципальных служащих и содержание органов местного самоуправления внутригородских муниципальных образований города федерального значения Санкт-Петербурга на 2024 год"
Номер опубликования: 7800202311160005
Дата опубликования:
16.11.2023
