Официальное опубликование правовых актов
ОФИЦИАЛЬНОЕ ОПУБЛИКОВАНИЕ
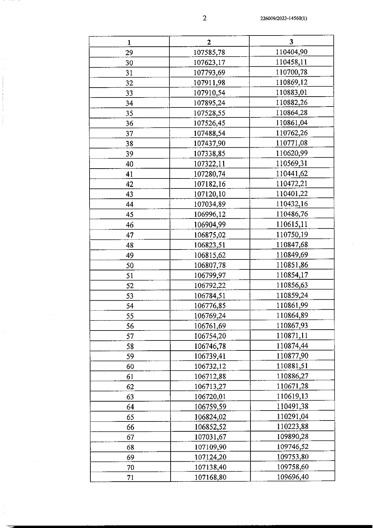
Постановление Правительства Санкт-Петербурга от 29.09.2023 № 1024
"О внесении изменений в постановление Правительства Санкт-Петербурга от 17.07.2007 № 867 в части территории, ограниченной Парашютной ул., дор. в Каменку, Суздальским шоссе, Орлово-Денисовским пр., ул.Академика Харитона, ул.Лётчика Паршина, в Приморском районе"
Номер опубликования: 7800202310130012
Дата опубликования: 13.10.2023
Страница №55 из 71:
Увеличить