Официальное опубликование правовых актов
ОФИЦИАЛЬНОЕ ОПУБЛИКОВАНИЕ
Закон Санкт-Петербурга от 21.06.2023 № 378-71
"Об исполнении бюджета Санкт-Петербурга за 2022 год (принят Законодательным Собранием Санкт-Петербурга 21.06.2023, подписан Губернатором Санкт-Петербурга 23.06.2023)"
Номер опубликования: 7800202306260011
Дата опубликования: 26.06.2023
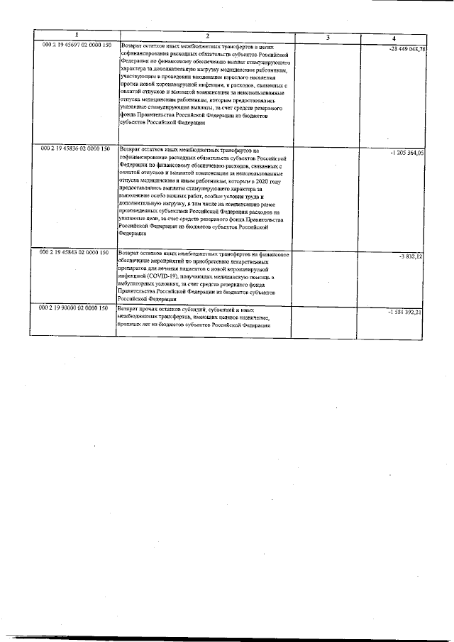
Страница №298 из 878:
Увеличить