Официальное опубликование правовых актов
ОФИЦИАЛЬНОЕ ОПУБЛИКОВАНИЕ
Постановление Правительства Санкт-Петербурга от 23.05.2023 № 478
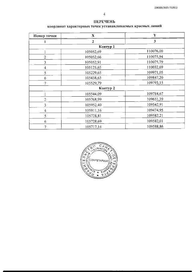
"Об утверждении проекта планировки с проектом межевания территории для размещения линейного объекта регионального значения "Парашютная ул. от Плесецкой ул. до Шуваловского пр."
Номер опубликования: 7800202305310002
Дата опубликования: 31.05.2023
Страница №6 из 22:
Увеличить