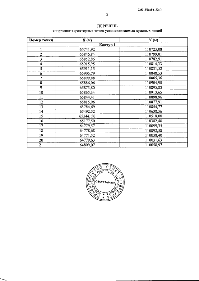
Постановление Правительства Санкт-Петербурга от 04.05.2023 № 404
"Об утверждении проекта планировки с проектом межевания территории для размещения линейного объекта регионального значения "Улица №4 от транспортной развязки Киевского шоссе на Кондакопшино до административных границ Санкт-Петербурга"
"Об утверждении проекта планировки с проектом межевания территории для размещения линейного объекта регионального значения "Улица №4 от транспортной развязки Киевского шоссе на Кондакопшино до административных границ Санкт-Петербурга"
Номер опубликования: 7800202305100001
Дата опубликования:
10.05.2023
