Официальное опубликование правовых актов
ОФИЦИАЛЬНОЕ ОПУБЛИКОВАНИЕ
Постановление Правительства Санкт-Петербурга от 13.02.2023 № 102
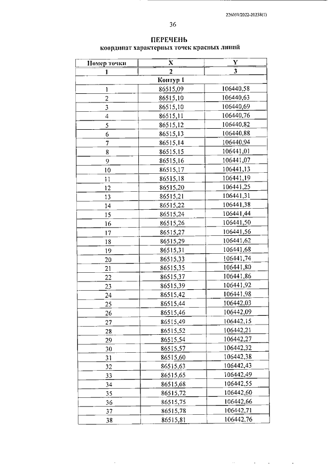
"Об утверждении проекта планировки с проектом межевания территории для размещения линейного объекта регионального значения "Красносельско-Калининская линия от станции "Казаковская" до станции "Обводный канал-2" с электродепо "Красносельское", частично расположенной в границах территории исторического поселения федерального значения город Санкт-Петербург"
Номер опубликования: 7800202302200008
Дата опубликования: 20.02.2023
Страница №38 из 224:
Увеличить