Официальное опубликование правовых актов
ОФИЦИАЛЬНОЕ ОПУБЛИКОВАНИЕ
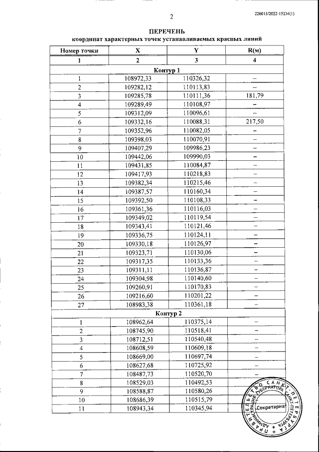
Постановление Правительства Санкт-Петербурга от 29.11.2022 № 1074
"Об утверждении проекта планировки с проектом межевания территории для размещения линейного объекта регионального значения "Улица № 1 от дор. в Каменку до Михайловской дор."
Номер опубликования: 7800202212050013
Дата опубликования: 05.12.2022
Страница №4 из 24:
Увеличить