Официальное опубликование правовых актов
ОФИЦИАЛЬНОЕ ОПУБЛИКОВАНИЕ
Постановление Правительства Санкт-Петербурга от 27.05.2022 № 456
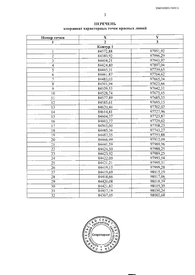
"Об утверждении проекта планировки с проектом межевания территории для размещения линейного объекта регионального значения "ул.Грибоедова от Львовской ул. до Фронтовой ул."
Номер опубликования: 7800202206020014
Дата опубликования: 02.06.2022
Страница №5 из 17:
Увеличить